



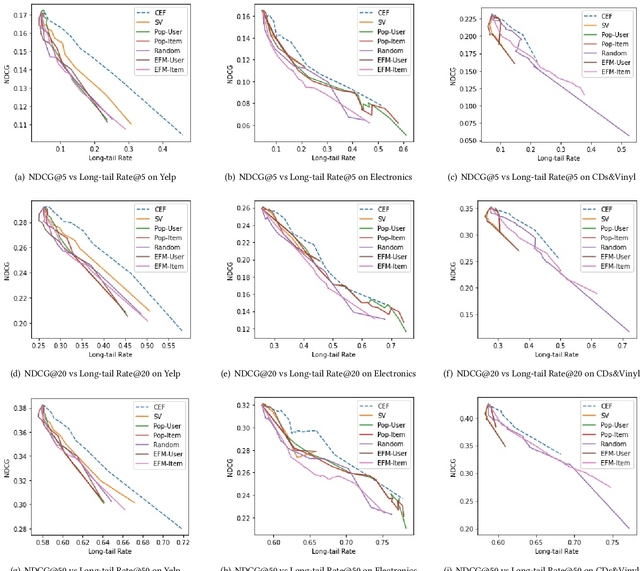
Existing research on fairness-aware recommendation has mainly focused on the quantification of fairness and the development of fair recommendation models, neither of which studies a more substantial problem--identifying the underlying reason of model disparity in recommendation. This information is critical for recommender system designers to understand the intrinsic recommendation mechanism and provides insights on how to improve model fairness to decision makers. Fortunately, with the rapid development of Explainable AI, we can use model explainability to gain insights into model (un)fairness. In this paper, we study the problem of explainable fairness, which helps to gain insights about why a system is fair or unfair, and guides the design of fair recommender systems with a more informed and unified methodology. Particularly, we focus on a common setting with feature-aware recommendation and exposure unfairness, but the proposed explainable fairness framework is general and can be applied to other recommendation settings and fairness definitions. We propose a Counterfactual Explainable Fairness framework, called CEF, which generates explanations about model fairness that can improve the fairness without significantly hurting the performance.The CEF framework formulates an optimization problem to learn the "minimal" change of the input features that changes the recommendation results to a certain level of fairness. Based on the counterfactual recommendation result of each feature, we calculate an explainability score in terms of the fairness-utility trade-off to rank all the feature-based explanations, and select the top ones as fairness explanations.