
Abstract:This paper introduced the JiuTian Intelligent Network Simulation Platform, which can provide wireless communication simulation data services for the Open Innovation Platform. The platform contains a series of scalable simulator functionalities, offering open services that enable users to use reinforcement learning algorithms for model training and inference based on simulation environments and data. Additionally, it allows users to address optimization tasks in different scenarios by uploading and updating parameter configurations. The platform and its open services were primarily introduced from the perspectives of background, overall architecture, simulator, business scenarios, and future directions.




Abstract:Breaking safety constraints in control systems can lead to potential risks, resulting in unexpected costs or catastrophic damage. Nevertheless, uncertainty is ubiquitous, even among similar tasks. In this paper, we develop a novel adaptive safe control framework that integrates meta learning, Bayesian models, and control barrier function (CBF) method. Specifically, with the help of CBF method, we learn the inherent and external uncertainties by a unified adaptive Bayesian linear regression (ABLR) model, which consists of a forward neural network (NN) and a Bayesian output layer. Meta learning techniques are leveraged to pre-train the NN weights and priors of the ABLR model using data collected from historical similar tasks. For a new control task, we refine the meta-learned models using a few samples, and introduce pessimistic confidence bounds into CBF constraints to ensure safe control. Moreover, we provide theoretical criteria to guarantee probabilistic safety during the control processes. To validate our approach, we conduct comparative experiments in various obstacle avoidance scenarios. The results demonstrate that our algorithm significantly improves the Bayesian model-based CBF method, and is capable for efficient safe exploration even with multiple uncertain constraints.




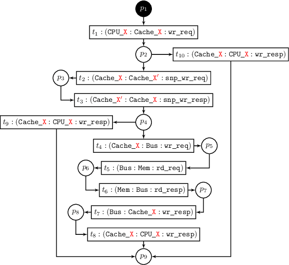
Abstract:Comprehensive specifications are essential for various activities across the entire validation continuum for system-on-chip (SoC) designs. However, specifications are often ambiguous, incomplete, or even contain inconsistencies or errors. This paper addresses this problem by developing a specification mining approach that automatically extracts sequential patterns from SoC transaction-level traces such that the mined patterns collectively characterize system-level specifications for SoC designs. This approach exploits long short-term memory (LSTM) networks trained with the collected SoC execution traces to capture sequential dependencies among various communication events. Then, a novel algorithm is developed to efficiently extract sequential patterns on system-level communications from the trained LSTM models. Several trace processing techniques are also proposed to enhance the mining performance. We evaluate the proposed approach on simulation traces of a non-trivial multi-core SoC prototype. Initial results show that the proposed approach is capable of extracting various patterns on system-level specifications from the highly concurrent SoC execution traces.