Abstract:Diffusion and flow matching (FM) models have achieved remarkable progress in speech enhancement (SE), yet their dependence on multi-step generation is computationally expensive and vulnerable to discretization errors. Recent advances in one-step generative modeling, particularly MeanFlow, provide a promising alternative by reformulating dynamics through average velocity fields. In this work, we present COSE, a one-step FM framework tailored for SE. To address the high training overhead of Jacobian-vector product (JVP) computations in MeanFlow, we introduce a velocity composition identity to compute average velocity efficiently, eliminating expensive computation while preserving theoretical consistency and achieving competitive enhancement quality. Extensive experiments on standard benchmarks show that COSE delivers up to 5x faster sampling and reduces training cost by 40%, all without compromising speech quality. Code is available at https://github.com/ICDM-UESTC/COSE.




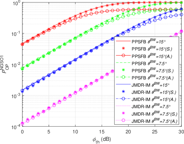
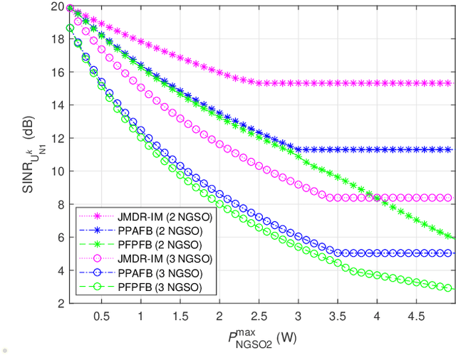
Abstract:A spectrum-sharing satellite-ground integrated network is conceived, consisting of a pair of non-geostationary orbit (NGSO) constellations and multiple terrestrial base stations, which impose the co-frequency interference (CFI) on each other. The CFI may increase upon increasing the number of satellites. To manage the potentially severe interference, we propose to rely on joint multi-domain resource aided interference management (JMDR-IM). Specifically, the coverage overlap of the constellations considered is analyzed. Then, multi-domain resources - including both the beam-domain and power-domain - are jointly utilized for managing the CFI in an overlapping coverage region. This joint resource utilization is performed by relying on our specifically designed beam-shut-off and switching based beam scheduling, as well as on long short-term memory based joint autoregressive moving average assisted deep Q network aided power scheduling. Moreover, the outage probability (OP) of the proposed JMDR-IM scheme is derived, and the asymptotic analysis of the OP is also provided. Our performance evaluations demonstrate the superiority of the proposed JMDR-IM scheme in terms of its increased throughput and reduced OP.
Abstract:Developing personalised thermal comfort models to inform occupant-centric controls (OCC) in buildings requires collecting large amounts of real-time occupant preference data. This process can be highly intrusive and labour-intensive for large-scale implementations, limiting the practicality of real-world OCC implementations. To address this issue, this study proposes a thermal preference-based HVAC control framework enhanced with Active Learning (AL) to address the data challenges related to real-world implementations of such OCC systems. The proposed AL approach proactively identifies the most informative thermal conditions for human annotation and iteratively updates a supervised thermal comfort model. The resulting model is subsequently used to predict the occupants' thermal preferences under different thermal conditions, which are integrated into the building's HVAC controls. The feasibility of our proposed AL-enabled OCC was demonstrated in an EnergyPlus simulation of a real-world testbed supplemented with the thermal preference data of 58 study occupants. The preliminary results indicated a significant reduction in overall labelling effort (i.e., 31.0%) between our AL-enabled OCC and conventional OCC while still achieving a slight increase in energy savings (i.e., 1.3%) and thermal satisfaction levels above 98%. This result demonstrates the potential for deploying such systems in future real-world implementations, enabling personalised comfort and energy-efficient building operations.