Abstract:Implicit hate speech detection is challenging due to its subtlety and reliance on contextual interpretation rather than explicit offensive words. Current approaches rely on contrastive learning, which are shown to be effective on distinguishing hate and non-hate sentences. Humans, however, detect implicit hate speech by first identifying specific targets within the text and subsequently interpreting how these target relate to their surrounding context. Motivated by this reasoning process, we propose AmpleHate, a novel approach designed to mirror human inference for implicit hate detection. AmpleHate identifies explicit target using a pretrained Named Entity Recognition model and capture implicit target information via [CLS] tokens. It computes attention-based relationships between explicit, implicit targets and sentence context and then, directly injects these relational vectors into the final sentence representation. This amplifies the critical signals of target-context relations for determining implicit hate. Experiments demonstrate that AmpleHate achieves state-of-the-art performance, outperforming contrastive learning baselines by an average of 82.14% and achieve faster convergence. Qualitative analyses further reveal that attention patterns produced by AmpleHate closely align with human judgement, underscoring its interpretability and robustness.
Abstract:Automated Test Case Generation (ATCG) is crucial for evaluating software reliability, particularly in competitive programming where robust algorithm assessments depend on diverse and accurate test cases. However, existing ATCG methods often fail to meet complex specifications or generate effective corner cases, limiting their utility. In this work, we introduce Context-Free Grammars with Counters (CCFGs), a formalism that captures both syntactic and semantic structures in input specifications. Using a fine-tuned CodeT5 model, we translate natural language input specifications into CCFGs, enabling the systematic generation of high-quality test cases. Experiments on the CodeContests dataset demonstrate that CCFG-based test cases outperform baseline methods in identifying incorrect algorithms, achieving significant gains in validity and effectiveness. Our approach provides a scalable and reliable grammar-driven framework for enhancing automated competitive programming evaluations.




Abstract:Code watermarking identifies AI-generated code by embedding patterns into the code during generation. Effective watermarking requires meeting two key conditions: the watermark should be reliably detectable, and the code should retain its original functionality. However, existing methods often modify tokens that are critical for program logic, such as keywords in conditional expressions or operators in arithmetic computations. These modifications can cause syntax errors or functional failures, limiting the practical use of watermarking. We present STONE, a method that preserves functional integrity by selectively inserting watermarks only into non-syntax tokens. By excluding tokens essential for code execution, STONE minimizes the risk of functional degradation. In addition, we introduce CWEM, a comprehensive evaluation metric that evaluates watermarking techniques based on correctness, detectability, and naturalness. While correctness and detectability have been widely used, naturalness remains underexplored despite its importance. Unnatural patterns can reveal the presence of a watermark, making it easier for adversaries to remove. We evaluate STONE using CWEM and compare its performance with the state-of-the-art approach. The results show that STONE achieves an average improvement of 7.69% in CWEM across Python, C++, and Java. Our code is available in https://github.com/inistory/STONE-watermarking/.
Abstract:Recent progress in large language models (LLMs) for code generation has raised serious concerns about intellectual property protection. Malicious users can exploit LLMs to produce paraphrased versions of proprietary code that closely resemble the original. While the potential for LLM-assisted code paraphrasing continues to grow, research on detecting it remains limited, underscoring an urgent need for detection system. We respond to this need by proposing two tasks. The first task is to detect whether code generated by an LLM is a paraphrased version of original human-written code. The second task is to identify which LLM is used to paraphrase the original code. For these tasks, we construct a dataset LPcode consisting of pairs of human-written code and LLM-paraphrased code using various LLMs. We statistically confirm significant differences in the coding styles of human-written and LLM-paraphrased code, particularly in terms of naming consistency, code structure, and readability. Based on these findings, we develop LPcodedec, a detection method that identifies paraphrase relationships between human-written and LLM-generated code, and discover which LLM is used for the paraphrasing. LPcodedec outperforms the best baselines in two tasks, improving F1 scores by 2.64% and 15.17% while achieving speedups of 1,343x and 213x, respectively.
Abstract:Adaptation is to make model learn the patterns shifted from the training distribution. In general, this adaptation is formulated as the minimum entropy problem. However, the minimum entropy problem has inherent limitation -- shifted initialization cascade phenomenon. We extend the relationship between the minimum entropy problem and the minimum set cover problem via Lebesgue integral. This extension reveals that internal mechanism of the minimum entropy problem ignores the relationship between disentangled representations, which leads to shifted initialization cascade. From the analysis, we introduce a new clustering algorithm, Union-find based Recursive Clustering Algorithm~(URECA). URECA is an efficient clustering algorithm for the leverage of the relationships between disentangled representations. The update rule of URECA depends on Thresholdly-Updatable Stationary Assumption to dynamics as a released version of Stationary Assumption. This assumption helps URECA to transport disentangled representations with no errors based on the relationships between disentangled representations. URECA also utilize simulation trick to efficiently cluster disentangled representations. The wide range of evaluations show that URECA achieves consistent performance gains for the few-shot adaptation to diverse types of shifts along with advancement to State-of-The-Art performance in CoSQA in the scenario of query shift.
Abstract:A quantum finite-state automaton (QFA) is a theoretical model designed to simulate the evolution of a quantum system with finite memory in response to sequential input strings. We define the language of a QFA as the set of strings that lead the QFA to an accepting state when processed from its initial state. QFAs exemplify how quantum computing can achieve greater efficiency compared to classical computing. While being one of the simplest quantum models, QFAs are still notably challenging to construct from scratch due to the preliminary knowledge of quantum mechanics required for superimposing unitary constraints on the automata. Furthermore, even when QFAs are correctly assembled, the limitations of a current quantum computer may cause fluctuations in the simulation results depending on how an assembled QFA is translated into a quantum circuit. We present a framework that provides a simple and intuitive way to build QFAs and maximize the simulation accuracy. Our framework relies on two methods: First, it offers a predefined construction for foundational types of QFAs that recognize special languages MOD and EQU. They play a role of basic building blocks for more complex QFAs. In other words, one can obtain more complex QFAs from these foundational automata using standard language operations. Second, we improve the simulation accuracy by converting these QFAs into quantum circuits such that the resulting circuits perform well on noisy quantum computers. Our framework is available at https://github.com/sybaik1/qfa-toolkit.
Abstract:Solving math word problems depends on how to articulate the problems, the lens through which models view human linguistic expressions. Real-world settings count on such a method even more due to the diverse practices of the same mathematical operations. Earlier works constrain available thinking processes by limited prediction strategies without considering their significance in acquiring mathematical knowledge. We introduce Attention-based THought Expansion Network Architecture (ATHENA) to tackle the challenges of real-world practices by mimicking human thought expansion mechanisms in the form of neural network propagation. A thought expansion recurrently generates the candidates carrying the thoughts of possible math expressions driven from the previous step and yields reasonable thoughts by selecting the valid pathways to the goal. Our experiments show that ATHENA achieves a new state-of-the-art stage toward the ideal model that is compelling in variant questions even when the informativeness in training examples is restricted.




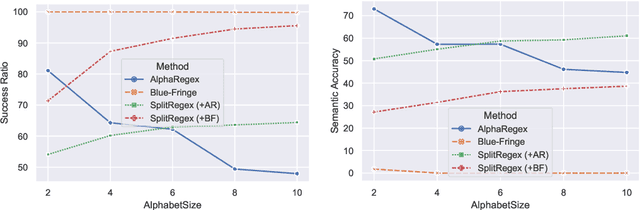
Abstract:Due to the practical importance of regular expressions (regexes, for short), there has been a lot of research to automatically generate regexes from positive and negative string examples. We tackle the problem of learning regexes faster from positive and negative strings by relying on a novel approach called `neural example splitting'. Our approach essentially split up each example string into multiple parts using a neural network trained to group similar substrings from positive strings. This helps to learn a regex faster and, thus, more accurately since we now learn from several short-length strings. We propose an effective regex synthesis framework called `SplitRegex' that synthesizes subregexes from `split' positive substrings and produces the final regex by concatenating the synthesized subregexes. For the negative sample, we exploit pre-generated subregexes during the subregex synthesis process and perform the matching against negative strings. Then the final regex becomes consistent with all negative strings. SplitRegex is a divided-and-conquer framework for learning target regexes; split (=divide) positive strings and infer partial regexes for multiple parts, which is much more accurate than the whole string inferring, and concatenate (=conquer) inferred regexes while satisfying negative strings. We empirically demonstrate that the proposed SplitRegex framework substantially improves the previous regex synthesis approaches over four benchmark datasets.
Abstract:Self-training provides an effective means of using an extremely small amount of labeled data to create pseudo-labels for unlabeled data. Many state-of-the-art self-training approaches hinge on different regularization methods to prevent overfitting and improve generalization. Yet they still rely heavily on predictions initially trained with the limited labeled data as pseudo-labels and are likely to put overconfident label belief on erroneous classes depending on the first prediction. To tackle this issue in text classification, we introduce LST, a simple self-training method that uses a lexicon to guide the pseudo-labeling mechanism in a linguistically-enriched manner. We consistently refine the lexicon by predicting confidence of the unseen data to teach pseudo-labels better in the training iterations. We demonstrate that this simple yet well-crafted lexical knowledge achieves 1.0-2.0% better performance on 30 labeled samples per class for five benchmark datasets than the current state-of-the-art approaches.




Abstract:Data augmentation has been an important ingredient for boosting performances of learned models. Prior data augmentation methods for few-shot text classification have led to great performance boosts. However, they have not been designed to capture the intricate compositional structure of natural language. As a result, they fail to generate samples with plausible and diverse sentence structures. Motivated by this, we present the data Augmentation using Lexicalized Probabilistic context-free grammars (ALP) that generates augmented samples with diverse syntactic structures with plausible grammar. The lexicalized PCFG parse trees consider both the constituents and dependencies to produce a syntactic frame that maximizes a variety of word choices in a syntactically preservable manner without specific domain experts. Experiments on few-shot text classification tasks demonstrate that ALP enhances many state-of-the-art classification methods. As a second contribution, we delve into the train-val splitting methodologies when a data augmentation method comes into play. We argue empirically that the traditional splitting of training and validation sets is sub-optimal compared to our novel augmentation-based splitting strategies that further expand the training split with the same number of labeled data. Taken together, our contributions on the data augmentation strategies yield a strong training recipe for few-shot text classification tasks.