Abstract:Federated learning (FL) has emerged as a promising distributed training paradigm for Low Earth Orbit (LEO) networks by significantly reducing communication overhead. However, its deployment faces critical challenges, e.g., topology-induced model staleness, short contact windows, and unaddressed computing heterogeneity. To address these issues, a topology-aware two-stage FL framework is proposed in this paper. First, a multi-layer physical architecture utilizing high-altitude platforms (HAPs) and Sub-THz communications is designed to extend satellite-ground contact windows and enlarge available bandwidth. Second, a proxy-model-based approach is adopted to fully utilize heterogeneous resources and enable architecture-agnostic knowledge aggregation. Finally, building upon these foundations, a topology-aware two-stage aggregation mechanism is proposed as the central algorithmic design to overcome the topology-induced staleness. The mechanism dynamically partitions LEO satellites into localized groups based on their transient HAP coverage. Within each group, LEO satellites perform asynchronous aggregation at their associated HAP to naturally tolerate computational delays without penalizing faster nodes. Subsequently, a synchronous inter-group aggregation is executed among all HAPs at the Ground Station (GS) to strictly bound the maximum staleness and guarantee stable global convergence. Numerical results demonstrate the proposed framework extends contact windows and achieves 86.59%--90.57% test accuracy, outperforming the state-of-the-art heterogeneous baseline by 16.26\%--19.80\%. Furthermore, it achieves a 1.5x to 2.2x convergence speedup, which closely approaches the ideal upper bound.
Abstract:The transition from isolated systems to integrated solutions has driven the development of space-air-ground integrated networks (SAGIN) as well as the integration of communication and radar sensing functionalities. By leveraging the unique properties of the Terahertz (THz) band, THz joint communication and radar sensing (JCRS) supports high-speed communication and precise sensing, addressing the growing demands of SAGIN for connectivity and environmental awareness. However, most existing THz studies focus on terrestrial and static scenarios, with limited consideration for the dynamic and non-terrestrial environments of SAGIN. In this paper, the THz JCRS techniques for SAGIN are comprehensively investigated. Specifically, propagation characteristics and channel models of THz waves in non-terrestrial environments are analyzed. A link capacity comparison with millimeter-wave, THz, and free-space optical frequency bands is conducted to highlight the advantages of THz frequencies. Moreover, novel JCRS waveform design strategies are presented to achieve mutual merit of communication and radar sensing, while networking strategies are developed to overcome challenges in SAGIN such as high mobility. Furthermore, advancements in THz device technologies, including antennas and amplifiers, are reviewed to assess their roles in enabling practical JCRS implementations.
Abstract:To achieve ubiquitous connectivity in next-generation networks through aerospace communications while maintaining high data rates, Terahertz (THz) band communications (0.1-10 THz) with large continuous bandwidths are considered a promising candidate technology. However, key enabling techniques and practical implementations of THz communications for aerospace applications remain limited. In this paper, the wireless channel characteristics, enabling communication techniques, and networking strategies for THz aerospace communications are investigated, aiming to assess their feasibility and encourage future research efforts toward system realization. Specifically, the wireless channel characteristics across various altitudes and scenarios are first analyzed, focusing on modeling the interaction between the THz wave and the external environment, from ground to outer space. Next, key enabling communication technologies, including multiple-input multiple-output (MIMO) technique, beam alignment and tracking, integrated communication and radar sensing (ICARS), and resource allocation for networking are discussed. Finally, the existing challenges and possible future directions are summarized and discussed.




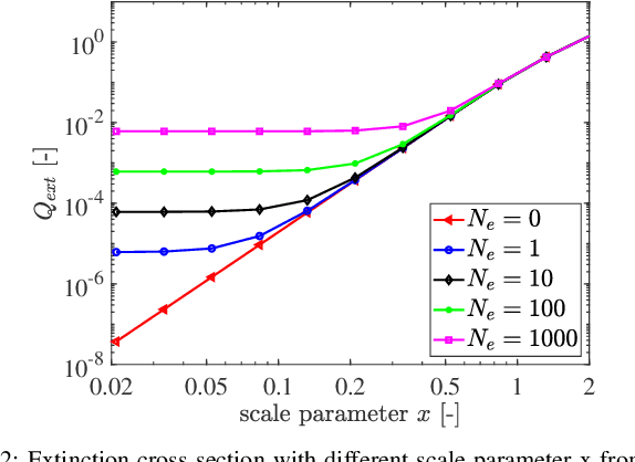
Abstract:Terahertz (THz) band (0.1-10 THz) possesses multi-gigahertz continuous bandwidth resources, making it a promising frequency band for high-speed wireless communications and environment sensing. The interaction between the THz wave and the external environment has been studied for various scenarios. However, it has recently been revealed that the friction forces in dust storms as well as the irradiation of sunlight and solar wind lead to the electrification of dust particles on Earth and the Moon. The THz wave propagation in these charged dust has not been fully investigated, which is essential for THz aerial communications in dust storms and lunar communications. In this paper, a channel model for THz wave propagation in charged dust is developed for wireless communications. Specifically, an extended Mie scattering model for charged dust is first introduced, which captures the electrodynamic feature of the interaction between THz wave and charged particles. Then, the diameter and density distributions of dust particles are modeled, based on which the propagation loss of THz wave in charged dust is modeled and elaborated. Finally, numerical results on the additional loss caused by these charged dust with different sizes in the THz band are evaluated and compared. Extensive results demonstrate that as the number of dust charges increases, the extinction cross section of smaller-sized particles significantly increases, and the overall attenuation led by charged dust increases by at most 50% at 0.3 THz.




Abstract:Terahertz (THz) band communication, ranging from 0.1 THz to 10 THz, is envisioned as a key enabling technology for next-generation networks and future applications such as inter-satellite communications and environmental sensing. The surging number of space debris in Low Earth Orbit poses a big threat to orbital infrastructure and the development of the space economy. In particular, despite the ability to detect and track large-scale space debris, millions of space debris with a radius within the range of 0.1-10 cm and velocity exceeding 1 km/s remains hard to detect with conventional ground-based radars and optical telescopes. In this study, a dual-functional frequency modulated continuous waveform (FMCW) operating in the THz band is adopted for space debris sensing and inter-satellite communications. Specifically, the radar cross section of space debris with various sizes in the THz band is analyzed to demonstrate the feasibility of THz space debris detection. A joint space debris detection and inter-satellite communications based on the FMCW waveform is derived. Then, the parameter estimation and demodulation algorithms are illustrated. Extensive simulations demonstrate that the proposed method can realize high-accuracy parameter estimation of hypervelocity space debris while achieving high reliability for inter-satellite communications.




Abstract:Terahertz (THz) wireless communications have the potential to realize ultra-high-speed and secure data transfer with miniaturized devices for unmanned aerial vehicle (UAV) communications. Existing THz channel models for aerial scenarios assume a homogeneous medium along the line-of-sight propagation path. However, the atmospheric turbulence due to random airflow leads to temporal and spatial inhomogeneity of the communication medium, motivating analysis and modelling of the THz UAV communication channel. In this paper, we statistically modelled the scintillation and attenuation effect of turbulence on THz UAV channels. Specifically, the frequency- and altitude-dependency of the refractive index structure constant, as a critical statistical parameter characterizing the intensity of turbulence, is first investigated. Then, the scintillation characteristic and attenuation of the THz communications caused by atmospheric turbulence are modelled, where the scintillation effect is modelled by a Gamma-Gamma distribution, and the turbulence attenuation as a function of altitude and frequency is derived. Numerical simulations on the refractive index structure constant, scintillation, and attenuation in the THz band are presented to quantitatively analyze the influence of turbulence for the THz UAV channels. It is discovered that THz turbulence can lead to at most 10dB attenuation with frequency less than 1THz and distance less than 10km.




Abstract:Communications in the terahertz band (THz) (0.1--10~THz) have been regarded as a promising technology for future 6G and beyond wireless systems, to overcome the challenges of evergrowing wireless data traffic and crowded spectrum. As the frequency increases from the microwave band to the THz band, new spectrum features pose unprecedented challenges to wireless communication system design. The molecular absorption effect is one of the new THz spectrum properties, which enlarges the path loss and noise at specific frequencies. This brings in a double-edged sword for THz wireless communication systems. On one hand, from the data rate viewpoint, molecular absorption is detrimental, since it mitigates the received signal power and degrades the channel capacity. On the other hand, it is worth noticing that for wireless security and covertness, the molecular absorption effect can be utilized to safeguard THz communications among users. In this paper, the features of the molecular absorption effect and their impact on the THz system design are analyzed under various scenarios, with the ultimate goal of providing guidelines to how better exploit this unique THz phenomenon. Specifically, since the molecular absorption greatly depends on the propagation medium, different communication scenarios consisting of various media are discussed, including terrestrial, air and space, sea surface and nano-scale communications. Furthermore, two novel molecular absorption enlightened secure and covert communication schemes are presented, where the molecular absorption effect is utilized as the key and unique feature to boost security and covertness.




Abstract:Terahertz (THz) communications have naturally promising physical layer security (PLS) performance in the angular domain due to the high directivity feature. However, if eavesdroppers reside in the beam sector, the directivity fails to work effectively to handle this range-domain security problem. More critically, with an eavesdropper inside the beam sector and nearer to the transmitter than the legitimate receiver, i.e., in close proximity, secure communication is jeopardized. This open challenge motivates this work to study PLS techniques to enhance THz range-angle security. In this paper, a novel widely-spaced array and beamforming (WASABI) design for THz range-angle secure communication is proposed, based on the uniform planar array and hybrid beamforming. Specifically, the WASABI design is theoretically proved to achieve the optimal secrecy rate powered by the non-constrained optimum approaching (NCOA) algorithm with more than one RF chain, i.e., with the hybrid beamforming scheme. Moreover, with a low-complexity and sub-optimal analog beamforming, the WASABI scheme can achieve sub-optimal performance with less than 5% secrecy rate degradation. Simulation results illustrate that our proposed widely-spaced antenna communication scheme can ensure a 6bps/Hz secrecy rate when the transmit power is 10dBm. Finally, a frequency diverse array, as an advocated range security candidate in the literature, is proven to be ineffective to enhance range security.