



Abstract:We present CREST, an approach for causal reasoning in simulation to learn the relevant state space for a robot manipulation policy. Our approach conducts interventions using internal models, which are simulations with approximate dynamics and simplified assumptions. These interventions elicit the structure between the state and action spaces, enabling construction of neural network policies with only relevant states as input. These policies are pretrained using the internal model with domain randomization over the relevant states. The policy network weights are then transferred to the target domain (e.g., the real world) for fine tuning. We perform extensive policy transfer experiments in simulation for two representative manipulation tasks: block stacking and crate opening. Our policies are shown to be more robust to domain shifts, more sample efficient to learn, and scale to more complex settings with larger state spaces. We also show improved zero-shot sim-to-real transfer of our policies for the block stacking task.




Abstract:As autonomous robots interact and navigate around real-world environments such as homes, it is useful to reliably identify and manipulate articulated objects, such as doors and cabinets. Many prior works in object articulation identification require manipulation of the object, either by the robot or a human. While recent works have addressed predicting articulation types from visual observations alone, they often assume prior knowledge of category-level kinematic motion models or sequence of observations where the articulated parts are moving according to their kinematic constraints. In this work, we propose training a neural network through large-scale domain randomization to identify the articulation type of object parts from a single image observation. Training data is generated via photorealistic rendering in simulation. Our proposed model predicts motion residual flows of object parts, and these residuals are used to determine the articulation type and parameters. We train the network on six object categories with 149 objects and 100K rendered images, achieving an accuracy of 82.5%. Experiments show our method generalizes to novel object categories in simulation and can be applied to real-world images without fine-tuning.




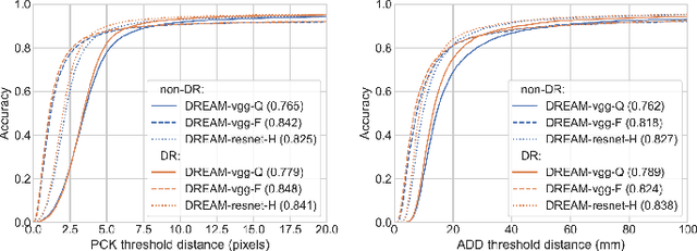
Abstract:We present an approach for estimating the pose of a camera with respect to a robot from a single image. Our method uses a deep neural network to process an RGB image from the camera to detect 2D keypoints on the robot. The network is trained entirely on simulated data using domain randomization. Perspective-$n$-point (P$n$P) is then used to recover the camera extrinsics, assuming that the joint configuration of the robot manipulator is known. Unlike classic hand-eye calibration systems, our method does not require an off-line calibration step but rather is capable of computing the camera extrinsics from a single frame, thus opening the possibility of on-line calibration. We show experimental results for three different camera sensors, demonstrating that our approach is able to achieve accuracy with a single frame that is better than that of classic off-line hand-eye calibration using multiple frames. With additional frames, accuracy improves even further. Code, datasets, and pretrained models for three widely-used robot manipulators will be made available.