Abstract:Semantic communications (SemCom) is a promising task-oriented paradigm in which semantic features exhibit non-uniform importance. Consequently, unequal error protection (UEP), which allocates resources based on semantic importance, plays a pivotal role in maximizing system utility. However, most existing schemes adopt passive importance evaluation, which neither proactively reshapes the importance distribution nor explores its impact on UEP performance. In this paper, we propose a novel importance-ordered semantic feature restructuring (ISFR) scheme that proactively enforces a descending importance hierarchy and jointly optimizes multi-dimensional resources to improve system utility. Specifically, modules with decreasing retention probabilities and increasing distortion levels are employed, which drive the model to concentrate key semantics into front-end features and thus strengthen importance differentiation. Moreover, a joint optimization problem that jointly optimizes channel matching, feature selection, modulation schemes, and power allocation is formulated to minimize the importance-weighted total semantic distortion. To solve this non-convex problem, a hierarchical decoupling strategy is proposed, which decomposes it into four tractable subproblems. This approach leverages the ordered prior to drastically prune the search space for feature selection and modulation, while integrating greedy-based channel matching and convex power allocation. Simulation results demonstrate that the proposed ISFR scheme outperforms traditional uniform importance-based schemes under harsh channel conditions and limited resources, validating the significant robustness improvement enabled by the concentration of key semantic information.
Abstract:We aim to secure a large-scale device-to-device (D2D) network against adversaries. The D2D network underlays a downlink cellular network to reuse the cellular spectrum and is enabled for simultaneous wireless information and power transfer (SWIPT). In the D2D network, the transmitters communicate with the receivers, and the receivers extract information and energy from their received radio-frequency (RF) signals. In the meantime, the adversaries aim to detect the D2D transmission. The D2D network applies power control and leverages the cellular signal to achieve covert communication (i.e., hide the presence of transmissions) so as to defend against the adversaries. We model the interaction between the D2D network and adversaries by using a two-stage Stackelberg game. Therein, the adversaries are the followers minimizing their detection errors at the lower stage and the D2D network is the leader maximizing its network utility constrained by the communication covertness and power outage at the upper stage. Both power splitting (PS)-based and time switch (TS)-based SWIPT schemes are explored. We characterize the spatial configuration of the large-scale D2D network, adversaries, and cellular network by stochastic geometry. We analyze the adversary's detection error minimization problem and adopt the Rosenbrock method to solve it, where the obtained solution is the best response from the lower stage. Taking into account the best response from the lower stage, we develop a bi-level algorithm to solve the D2D network's constrained network utility maximization problem and obtain the Stackelberg equilibrium. We present numerical results to reveal interesting insights.




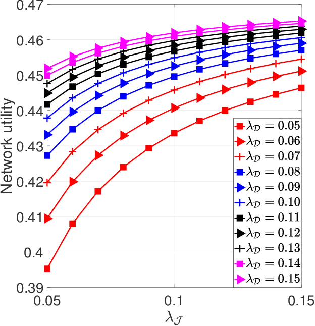
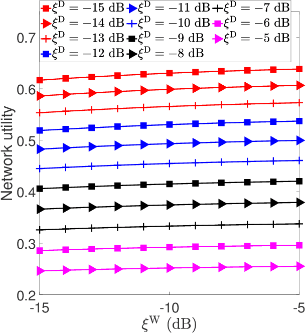
Abstract:We exploit both covert communication and friendly jamming to propose a friendly jamming-assisted covert communication and use it to doubly secure a large-scale device-to-device (D2D) network against eavesdroppers (i.e., wardens). The D2D transmitters defend against the wardens by: 1) hiding their transmissions with enhanced covert communication, and 2) leveraging friendly jamming to ensure information secrecy even if the D2D transmissions are detected. We model the combat between the wardens and the D2D network (the transmitters and the friendly jammers) as a two-stage Stackelberg game. Therein, the wardens are the followers at the lower stage aiming to minimize their detection errors, and the D2D network is the leader at the upper stage aiming to maximize its utility (in terms of link reliability and communication security) subject to the constraint on communication covertness. We apply stochastic geometry to model the network spatial configuration so as to conduct a system-level study. We develop a bi-level optimization algorithm to search for the equilibrium of the proposed Stackelberg game based on the successive convex approximation (SCA) method and Rosenbrock method. Numerical results reveal interesting insights. We observe that without the assistance from the jammers, it is difficult to achieve covert communication on D2D transmission. Moreover, we illustrate the advantages of the proposed friendly jamming-assisted covert communication by comparing it with the information-theoretical secrecy approach in terms of the secure communication probability and network utility.