Abstract:Heterogeneous graph neural networks (HGNNs) have recently shown impressive capability in modeling heterogeneous graphs that are ubiquitous in real-world applications. Due to the diversity of attributes of nodes in different types, most existing models first align nodes by mapping them into the same low-dimensional space. However, in this way, they lose the type information of nodes. In addition, most of them only consider the interactions between nodes while neglecting the high-order information behind the latent interactions among different node features. To address these problems, in this paper, we propose a novel heterogeneous graph model MULAN, including two major components, i.e., a type-aware encoder and a dimension-aware encoder. Specifically, the type-aware encoder compensates for the loss of node type information and better leverages graph heterogeneity in learning node representations. Built upon transformer architecture, the dimension-aware encoder is capable of capturing the latent interactions among the diverse node features. With these components, the information of graph heterogeneity, node features and graph structure can be comprehensively encoded in node representations. We conduct extensive experiments on six heterogeneous benchmark datasets, which demonstrates the superiority of MULAN over other state-of-the-art competitors and also shows that MULAN is efficient.




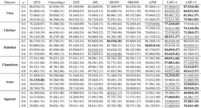
Abstract:While robust graph neural networks (GNNs) have been widely studied for graph perturbation and attack, those for label noise have received significantly less attention. Most existing methods heavily rely on the label smoothness assumption to correct noisy labels, which adversely affects their performance on heterophilous graphs. Further, they generally perform poorly in high noise-rate scenarios. To address these problems, in this paper, we propose a novel probabilistic graphical model (PGM) based framework LNP. Given a noisy label set and a clean label set, our goal is to maximize the likelihood of labels in the clean set. We first present LNP-v1, which generates clean labels based on graphs only in the Bayesian network. To further leverage the information of clean labels in the noisy label set, we put forward LNP-v2, which incorporates the noisy label set into the Bayesian network to generate clean labels. The generative process can then be used to predict labels for unlabeled nodes. We conduct extensive experiments to show the robustness of LNP on varying noise types and rates, and also on graphs with different heterophilies. In particular, we show that LNP can lead to inspiring performance in high noise-rate situations.
Abstract:Graph Neural Networks (GNNs) are powerful in learning semantics of graph data. Recently, a new paradigm "pre-train, prompt" has shown promising results in adapting GNNs to various tasks with less supervised data. The success of such paradigm can be attributed to the more consistent objectives of pre-training and task-oriented prompt tuning, where the pre-trained knowledge can be effectively transferred to downstream tasks. However, an overlooked issue of existing studies is that the structure information of graph is usually exploited during pre-training for learning node representations, while neglected in the prompt tuning stage for learning task-specific parameters. To bridge this gap, we propose a novel structure-based prompting method for GNNs, namely SAP, which consistently exploits structure information in both pre-training and prompt tuning stages. In particular, SAP 1) employs a dual-view contrastive learning to align the latent semantic spaces of node attributes and graph structure, and 2) incorporates structure information in prompted graph to elicit more pre-trained knowledge in prompt tuning. We conduct extensive experiments on node classification and graph classification tasks to show the effectiveness of SAP. Moreover, we show that SAP can lead to better performance in more challenging few-shot scenarios on both homophilous and heterophilous graphs.