



Abstract:Randomness is an unavoidable part of training deep learning models, yet something that traditional training data attribution algorithms fail to rigorously account for. They ignore the fact that, due to stochasticity in the initialisation and batching, training on the same dataset can yield different models. In this paper, we address this shortcoming through introducing distributional training data attribution (d-TDA), the goal of which is to predict how the distribution of model outputs (over training runs) depends upon the dataset. We demonstrate the practical significance of d-TDA in experiments, e.g. by identifying training examples that drastically change the distribution of some target measurement without necessarily changing the mean. Intriguingly, we also find that influence functions (IFs), a popular but poorly-understood data attribution tool, emerge naturally from our distributional framework as the limit to unrolled differentiation; without requiring restrictive convexity assumptions. This provides a new mathematical motivation for their efficacy in deep learning, and helps to characterise their limitations.




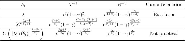
Abstract:Policy gradient methods have been frequently applied to problems in control and reinforcement learning with great success, yet existing convergence analysis still relies on non-intuitive, impractical and often opaque conditions. In particular, existing rates are achieved in limited settings, under strict smoothness and bounded conditions. In this work, we establish explicit convergence rates of policy gradient methods without relying on these conditions, instead extending the convergence regime to weakly smooth policy classes with $L_2$ integrable gradient. We provide intuitive examples to illustrate the insight behind these new conditions. We also characterize the sufficiency conditions for the ergodicity of near-linear MDPs, which represent an important class of problems. Notably, our analysis also shows that fast convergence rates are achievable for both the standard policy gradient and the natural policy gradient algorithms under these assumptions. Lastly we provide conditions and analysis for optimality of the converged policies.