Abstract:Joint utilization of multiple discrete frequency bands can enhance the accuracy of delay estimation. Although some unique challenges of multiband fusion, such as phase distortion, oscillation phenomena, and high-dimensional search, have been partially addressed, further challenges remain. Specifically, under conditions of low signal-to-noise ratio (SNR), insufficient data, and closely spaced delay paths, accurately determining the model order-the number of delay paths-becomes difficult. Misestimating the model order can significantly degrade the estimation performance of traditional methods. To address joint model selection and parameter estimation under such harsh conditions, we propose a multi-model stochastic particle-based variational Bayesian inference (MM-SPVBI) framework, capable of exploring multiple high-dimensional parameter spaces. Initially, we split potential overlapping primary delay paths based on coarse estimates, generating several parallel candidate models. Then, an auto-focusing sampling strategy is employed to quickly identify the optimal model. Additionally, we introduce a hybrid posterior approximation to improve the original single-model SPVBI, ensuring overall complexity does not increase significantly with parallelism. Simulations demonstrate that our algorithm offers substantial advantages over existing methods.
Abstract:Future wireless networks are envisioned to provide ubiquitous sensing services, which also gives rise to a substantial demand for high-dimensional non-convex parameter estimation, i.e., the associated likelihood function is non-convex and contains numerous local optima. Variational Bayesian inference (VBI) provides a powerful tool for modeling complex estimation problems and reasoning with prior information, but poses a long-standing challenge on computing intractable posteriori distributions. Most existing variational methods generally rely on assumptions about specific distribution families to derive closed-form solutions, and are difficult to apply in high-dimensional, non-convex scenarios. Given these challenges, firstly, we propose a parallel stochastic particle variational Bayesian inference (PSPVBI) algorithm. Thanks to innovations such as particle approximation, additional updates of particle positions, and parallel stochastic successive convex approximation (PSSCA), PSPVBI can flexibly drive particles to fit the posteriori distribution with acceptable complexity, yielding high-precision estimates of the target parameters. Furthermore, additional speedup can be obtained by deep-unfolding (DU) the PSPVBI algorithm. Specifically, superior hyperparameters are learned to dramatically reduce the number of algorithmic iterations. In this PSPVBI-induced Deep-Unfolding Networks, some techniques related to gradient computation, data sub-sampling, differentiable sampling, and generalization ability are also employed to facilitate the practical deployment. Finally, we apply the LPSPVBI to solve several important parameter estimation problems in wireless sensing scenarios. Simulations indicate that the LPSPVBI algorithm outperforms existing solutions.




Abstract:For many practical applications in wireless communications, we need to recover a structured sparse signal from a linear observation model with dynamic grid parameters in the sensing matrix. Conventional expectation maximization (EM)-based compressed sensing (CS) methods, such as turbo compressed sensing (Turbo-CS) and turbo variational Bayesian inference (Turbo-VBI), have double-loop iterations, where the inner loop (E-step) obtains a Bayesian estimation of sparse signals and the outer loop (M-step) obtains a point estimation of dynamic grid parameters. This leads to a slow convergence rate. Furthermore, each iteration of the E-step involves a complicated matrix inverse in general. To overcome these drawbacks, we first propose a successive linear approximation VBI (SLA-VBI) algorithm that can provide Bayesian estimation of both sparse signals and dynamic grid parameters. Besides, we simplify the matrix inverse operation based on the majorization-minimization (MM) algorithmic framework. In addition, we extend our proposed algorithm from an independent sparse prior to more complicated structured sparse priors, which can exploit structured sparsity in specific applications to further enhance the performance. Finally, we apply our proposed algorithm to solve two practical application problems in wireless communications and verify that the proposed algorithm can achieve faster convergence, lower complexity, and better performance compared to the state-of-the-art EM-based methods.




Abstract:This paper considers an integrated sensing and communication system, where some radar targets also serve as communication scatterers. A location domain channel modeling method is proposed based on the position of targets and scatterers in the scattering environment, and the resulting radar and communication channels exhibit a two-dimensional (2-D) joint burst sparsity. We propose a joint scattering environment sensing and channel estimation scheme to enhance the target/scatterer localization and channel estimation performance simultaneously, where a spatially non-stationary Markov random field (MRF) model is proposed to capture the 2-D joint burst sparsity. Specifically, the base station (BS) first transmits downlink pilots to sense the targets in the scattering environment. Then the user transmits uplink pilots to estimate the communication channel. Finally, joint scattering environment sensing and channel estimation are performed at the BS based on the reflected downlink pilot signal and received uplink pilot signal. A message passing based algorithm is designed based on the turbo approach. Furthermore, a variation of the expectation maximization method, based on pseudo-likelihood approximation, is proposed to learn the unknown parameters in the non-stationary MRF model that capture the random sizes and locations of the scattering clusters. The advantages of our proposed scheme are verified in the simulations.




Abstract:This paper considers an integrated sensing and communication system, where some radar targets also serve as communication scatterers. A location domain channel modeling method is proposed based on the position of targets and scatterers in the scattering environment, and the resulting radar and communication channels exhibit a partially common sparsity. By exploiting this, we propose a joint scattering environment sensing and channel estimation scheme to enhance the target/scatterer localization and channel estimation performance simultaneously. Specifically, the base station (BS) first transmits downlink pilots to sense the targets in the scattering environment. Then the user transmits uplink pilots to estimate the communication channel. Finally, joint scattering environment sensing and channel estimation are performed at the BS based on the reflected downlink pilot signal and received uplink pilot signal. A message passing based algorithm is designed by combining the turbo approach and the expectation maximization method. The advantages of our proposed scheme are verified in the simulations.




Abstract:Multi-band fusion is an important technology to improve the radar sensing performance. In the multi-band radar sensing signal model, the associated likelihood function has oscillation phenomenon, which makes it difficult to obtain high-accuracy parameter estimation. To cope with this challenge, we divide the radar target parameter estimation into two stages of coarse estimation and refined estimation, where the coarse estimation is used to narrow down the search range for the refined estimation, and the refined estimation is based on the Bayesian approach to avoid the convergence to a bad local optimum of the likelihood function. Specifically, in the coarse estimation stage, we employ a root MUSIC algorithm to achieve initial estimation. Then, we apply the block stochastic successive convex approximation (SSCA) approach to derive a novel stochastic particle-based variational Bayesian inference (SPVBI) algorithm for the Bayesian estimation of the radar target parameters in the refined stage. Unlike the conventional particle-based VBI (PVBI) in which only the probability of each particle is optimized and the per-iteration computational complexity increases exponentially with the number of particles, the proposed SPVBI optimizes both the position and probability of each particle, and it adopts the block SSCA to significantly improve the sampling efficiency by averaging over iterations. As such, it is shown that the proposed SPVBI can achieve a better performance than the conventional PVBI with a much smaller number of particles and per-iteration complexity. Finally, extensive simulations verify the advantage of the proposed algorithm over various baseline algorithms.




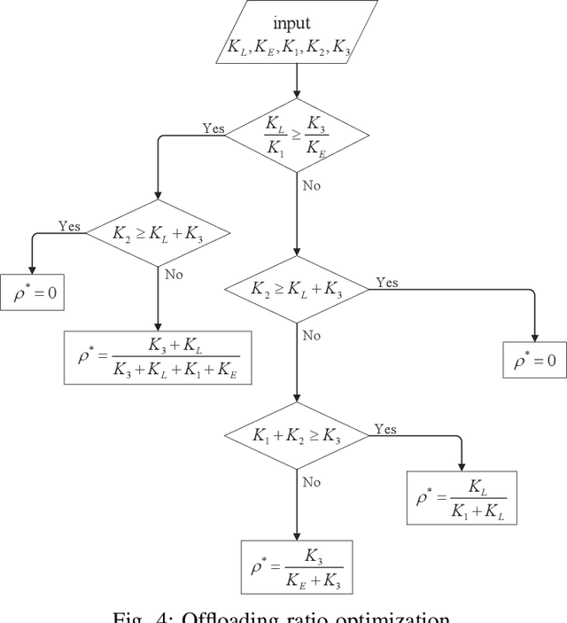
Abstract:Mobile edge computing (MEC) and millimeter wave (mmWave) communications are capable of significantly reducing the network's delay and enhancing its capacity. In this paper we investigate a mmWave and device-to-device (D2D) assisted MEC system, in which user A carries out some computational tasks and shares the results with user B with the aid of a base station (BS). We propose a novel two-timescale joint hybrid beamforming and task allocation algorithm to reduce the system latency whilst cut down the required signaling overhead. Specifically, the high-dimensional analog beamforming matrices are updated in a frame-based manner based on the channel state information (CSI) samples, where each frame consists of a number of time slots, while the low-dimensional digital beamforming matrices and the offloading ratio are optimized more frequently relied on the low-dimensional effective channel matrices in each time slot. A stochastic successive convex approximation (SSCA) based algorithm is developed to design the long-term analog beamforming matrices. As for the short-term variables, the digital beamforming matrices are optimized relying on the innovative penalty-concave convex procedure (penalty-CCCP) for handling the mmWave non-linear transmit power constraint, and the offloading ratio can be obtained via the derived closed-form solution. Simulation results verify the effectiveness of the proposed algorithm by comparing the benchmarks.




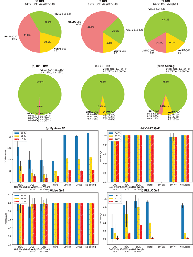
Abstract:Network slicing means an emerging business to operators and allows them to sell the customized slices to various tenants at different prices. In order to provide better-performing and costefficient services, network slicing involves challenging technical issues and urgently looks forward to intelligent innovations to make the resource management consistent with users' activities per slice. In that regard, deep reinforcement learning (DRL), which focuses on how to interact with the environment by trying alternative actions and reinforces the tendency actions producing more rewarding consequences, is emerging as a promising solution. In this paper, after briefly reviewing the fundamental concepts and evolution-driving factors of DRL, we investigate the application of DRL in some typical resource management scenarios of network slicing, which include radio resource slicing and priority-based core network slicing, and demonstrate the performance advantage of DRL over several competing schemes through extensive simulations. Finally, we also discuss the possible challenges to apply DRL in network slicing from a general perspective.