Abstract:Foundation Models, pre-trained on large unlabelled datasets before task-specific fine-tuning, are increasingly being applied to specialised domains. Recent examples include ClimaX for climate and Clay for satellite Earth observation, but a Foundation Model for Space Object Behavioural Analysis has not yet been developed. As orbital populations grow, automated methods for characterising space object behaviour are crucial for space safety. We present a Space Safety and Sustainability Foundation Model focusing on space object behavioural analysis using light curves (LCs). We implemented a Perceiver-Variational Autoencoder (VAE) architecture, pre-trained with self-supervised reconstruction and masked reconstruction on 227,000 LCs from the MMT-9 observatory. The VAE enables anomaly detection, motion prediction, and LC generation. We fine-tuned the model for anomaly detection & motion prediction using two independent LC simulators (CASSANDRA and GRIAL respectively), using CAD models of boxwing, Sentinel-3, SMOS, and Starlink platforms. Our pre-trained model achieved a reconstruction error of 0.01%, identifying potentially anomalous light curves through reconstruction difficulty. After fine-tuning, the model scored 88% and 82% accuracy, with 0.90 and 0.95 ROC AUC scores respectively in both anomaly detection and motion mode prediction (sun-pointing, spin, etc.). Analysis of high-confidence anomaly predictions on real data revealed distinct patterns including characteristic object profiles and satellite glinting. Here, we demonstrate how self-supervised learning can simultaneously enable anomaly detection, motion prediction, and synthetic data generation from rich representations learned in pre-training. Our work therefore supports space safety and sustainability through automated monitoring and simulation capabilities.
Abstract:The Three-Body Problem has fascinated scientists for centuries and it has been crucial in the design of modern space missions. Recent developments in Generative Artificial Intelligence hold transformative promise for addressing this longstanding problem. This work investigates the use of Variational Autoencoder (VAE) and its internal representation to generate periodic orbits. We utilize a comprehensive dataset of periodic orbits in the Circular Restricted Three-Body Problem (CR3BP) to train deep-learning architectures that capture key orbital characteristics, and we set up physical evaluation metrics for the generated trajectories. Through this investigation, we seek to enhance the understanding of how Generative AI can improve space mission planning and astrodynamics research, leading to novel, data-driven approaches in the field.




Abstract:The paper presents an approach to the modelling of epistemic uncertainty in Conjunction Data Messages (CDM) and the classification of conjunction events according to the confidence in the probability of collision. The approach proposed in this paper is based on the Dempster-Shafer Theory (DSt) of evidence and starts from the assumption that the observed CDMs are drawn from a family of unknown distributions. The Dvoretzky-Kiefer-Wolfowitz (DKW) inequality is used to construct robust bounds on such a family of unknown distributions starting from a time series of CDMs. A DSt structure is then derived from the probability boxes constructed with DKW inequality. The DSt structure encapsulates the uncertainty in the CDMs at every point along the time series and allows the computation of the belief and plausibility in the realisation of a given probability of collision. The methodology proposed in this paper is tested on a number of real events and compared against existing practices in the European and French Space Agencies.
Abstract:This paper presents a data processing pipeline designed to extract information from the hyperspectral signature of unknown space objects. The methodology proposed in this paper determines the material composition of space objects from single pixel images. Two techniques are used for material identification and classification: one based on machine learning and the other based on a least square match with a library of known spectra. From this information, a supervised machine learning algorithm is used to classify the object into one of several categories based on the detection of materials on the object. The behaviour of the material classification methods is investigated under non-ideal circumstances, to determine the effect of weathered materials, and the behaviour when the training library is missing a material that is present in the object being observed. Finally the paper will present some preliminary results on the identification and classification of space objects.




Abstract:This paper presents a novel and fast solver for the J2-perturbed Lambert problem. The solver consists of an intelligent initial guess generator combined with a differential correction procedure. The intelligent initial guess generator is a deep neural network that is trained to correct the initial velocity vector coming from the solution of the unperturbed Lambert problem. The differential correction module takes the initial guess and uses a forward shooting procedure to further update the initial velocity and exactly meet the terminal conditions. Eight sample forms are analyzed and compared to find the optimum form to train the neural network on the J2-perturbed Lambert problem. The accuracy and performance of this novel approach will be demonstrated on a representative test case: the solution of a multi-revolution J2-perturbed Lambert problem in the Jupiter system. We will compare the performance of the proposed approach against a classical standard shooting method and a homotopy-based perturbed Lambert algorithm. It will be shown that, for a comparable level of accuracy, the proposed method is significantly faster than the other two.




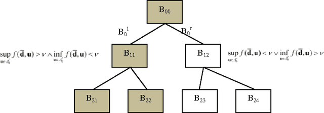
Abstract:This paper presents some ideas to reduce the computational cost of evidence-based robust design optimization. Evidence Theory crystallizes both the aleatory and epistemic uncertainties in the design parameters, providing two quantitative measures, Belief and Plausibility, of the credibility of the computed value of the design budgets. The paper proposes some techniques to compute an approximation of Belief and Plausibility at a cost that is a fraction of the one required for an accurate calculation of the two values. Some simple test cases will show how the proposed techniques scale with the dimension of the problem. Finally a simple example of spacecraft system design is presented.




Abstract:In this paper, the preliminary design of a space mission is approached introducing uncertainties on the design parameters and formulating the resulting reliable design problem as a multiobjective optimization problem. Uncertainties are modelled through evidence theory and the belief, or credibility, in the successful achievement of mission goals is maximised along with the reliability of constraint satisfaction. The multiobjective optimisation problem is solved through a novel algorithm based on the collaboration of a population of agents in search for the set of highly reliable solutions. Two typical problems in mission analysis are used to illustrate the proposed methodology.




Abstract:In this paper, we propose an approach for assigning an interest level to the goals of a planetary rover. Assigning an interest level to goals, allows the rover autonomously to transform and reallocate the goals. The interest level is defined by data-fusing payload and navigation information. The fusion yields an "interest map", that quantifies the level of interest of each area around the rover. In this way the planner can choose the most interesting scientific objectives to be analyzed, with limited human intervention, and reallocates its goals autonomously. The Dezert-Smarandache Theory of Plausible and Paradoxical Reasoning was used for information fusion: this theory allows dealing with vague and conflicting data. In particular, it allows us directly to model the behavior of the scientists that have to evaluate the relevance of a particular set of goals. The paper shows an application of the proposed approach to the generation of a reliable interest map.




Abstract:This paper presents a novel approach for the preliminary design of Low-Thrust, many-revolution transfers. The main feature of the novel approach is a considerable reduction in the control parameters and a consequent gain in computational speed. Each spiral is built by using a predefined pattern for thrust direction and switching structure. The pattern is then optimised to minimise propellant consumption and transfer time. The variation of the orbital elements due to the thrust is computed analytically from a first-order solution of the perturbed Keplerian motion. The proposed approach allows for a realistic estimation of {\Delta}V and time of flight required to transfer a spacecraft between two arbitrary orbits. Eccentricity and plane changes are both accounted for. The novel approach is applied here to the design of missions for the removal of space debris by means of an Ion Beam Shepherd Spacecraft. In particular, two slightly different variants of the proposed low-thrust control model are used for the different phases of the mission. Thanks to their low computational cost they can be included in a multiobjective optimisation problem in which the sequence and timing of the removal of five pieces of debris are optimised to minimise propellant consumption and mission duration.




Abstract:This paper presents a novel approach to the robust design of deflection actions for Near Earth Objects (NEO). In particular, the case of deflection by means of Solar-pumped Laser ablation is studied here in detail. The basic idea behind Laser ablation is that of inducing a sublimation of the NEO surface, which produces a low thrust thereby slowly deviating the asteroid from its initial Earth threatening trajectory. This work investigates the integrated design of the Space-based Laser system and the deflection action generated by laser ablation under uncertainty. The integrated design is formulated as a multi-objective optimisation problem in which the deviation is maximised and the total system mass is minimised. Both the model for the estimation of the thrust produced by surface laser ablation and the spacecraft system model are assumed to be affected by epistemic uncertainties (partial or complete lack of knowledge). Evidence Theory is used to quantify these uncertainties and introduce them in the optimisation process. The propagation of the trajectory of the NEO under the laser-ablation action is performed with a novel approach based on an approximated analytical solution of Gauss' Variational Equations. An example of design of the deflection of asteroid Apophis with a swarm of spacecraft is presented.