



Abstract:Shapley values are widely recognized as a principled method for attributing importance to input features in machine learning. However, the exact computation of Shapley values scales exponentially with the number of features, severely limiting the practical application of this powerful approach. The challenge is further compounded when the predictive model is probabilistic - as in Gaussian processes (GPs) - where the outputs are random variables rather than point estimates, necessitating additional computational effort in modeling higher-order moments. In this work, we demonstrate that for an important class of GPs known as FANOVA GP, which explicitly models all main effects and interactions, *exact* Shapley attributions for both local and global explanations can be computed in *quadratic time*. For local, instance-wise explanations, we define a stochastic cooperative game over function components and compute the exact stochastic Shapley value in quadratic time only, capturing both the expected contribution and uncertainty. For global explanations, we introduce a deterministic, variance-based value function and compute exact Shapley values that quantify each feature's contribution to the model's overall sensitivity. Our methods leverage a closed-form (stochastic) M\"{o}bius representation of the FANOVA decomposition and introduce recursive algorithms, inspired by Newton's identities, to efficiently compute the mean and variance of Shapley values. Our work enhances the utility of explainable AI, as demonstrated by empirical studies, by providing more scalable, axiomatically sound, and uncertainty-aware explanations for predictions generated by structured probabilistic models.




Abstract:Kernel methods are widely used in machine learning due to their flexibility and expressive power. However, their black-box nature poses significant challenges to interpretability, limiting their adoption in high-stakes applications. Shapley value-based feature attribution techniques, such as SHAP and kernel-specific variants like RKHS-SHAP, offer a promising path toward explainability. Yet, computing exact Shapley values remains computationally intractable in general, motivating the development of various approximation schemes. In this work, we introduce PKeX-Shapley, a novel algorithm that utilizes the multiplicative structure of product kernels to enable the exact computation of Shapley values in polynomial time. We show that product-kernel models admit a functional decomposition that allows for a recursive formulation of Shapley values. This decomposition not only yields computational efficiency but also enhances interpretability in kernel-based learning. We also demonstrate how our framework can be generalized to explain kernel-based statistical discrepancies such as the Maximum Mean Discrepancy (MMD) and the Hilbert-Schmidt Independence Criterion (HSIC), thus offering new tools for interpretable statistical inference.


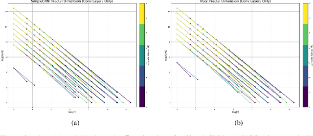
Abstract:This paper conceptualizes the Deep Weight Spaces (DWS) of neural architectures as hierarchical, fractal-like, coarse geometric structures observable at discrete integer scales through recursive dilation. We introduce a coarse group action termed the fractal transformation, $T_{r_k} $, acting under the symmetry group $G = (\mathbb{Z}, +) $, to analyze neural parameter matrices or tensors, by segmenting the underlying discrete grid $\Omega$ into $N(r_k)$ fractals across varying observation scales $ r_k $. This perspective adopts a box count technique, commonly used to assess the hierarchical and scale-related geometry of physical structures, which has been extensively formalized under the topic of fractal geometry. We assess the structural complexity of neural layers by estimating the Hausdorff-Besicovitch dimension of their layers and evaluating a degree of self-similarity. The fractal transformation features key algebraic properties such as linearity, identity, and asymptotic invertibility, which is a signature of coarse structures. We show that the coarse group action exhibits a set of symmetries such as Discrete Scale Invariance (DSI) under recursive dilation, strong invariance followed by weak equivariance to permutations, alongside respecting the scaling equivariance of activation functions, defined by the intertwiner group relations. Our framework targets large-scale structural properties of DWS, deliberately overlooking minor inconsistencies to focus on significant geometric characteristics of neural networks. Experiments on CIFAR-10 using ResNet-18, VGG-16, and a custom CNN validate our approach, demonstrating effective fractal segmentation and structural analysis.




Abstract:As Artificial Intelligence (AI) is having more influence on our everyday lives, it becomes important that AI-based decisions are transparent and explainable. As a consequence, the field of eXplainable AI (or XAI) has become popular in recent years. One way to explain AI models is to elucidate the predictive importance of the input features for the AI model in general, also referred to as global explanations. Inspired by cooperative game theory, Shapley values offer a convenient way for quantifying the feature importance as explanations. However many methods based on Shapley values are built on the assumption of feature independence and often overlook causal relations of the features which could impact their importance for the ML model. Inspired by studies of explanations at the local level, we propose CAGE (Causally-Aware Shapley Values for Global Explanations). In particular, we introduce a novel sampling procedure for out-coalition features that respects the causal relations of the input features. We derive a practical approach that incorporates causal knowledge into global explanation and offers the possibility to interpret the predictive feature importance considering their causal relation. We evaluate our method on synthetic data and real-world data. The explanations from our approach suggest that they are not only more intuitive but also more faithful compared to previous global explanation methods.
Abstract:Priorities in multi-criteria decision-making (MCDM) convey the relevance preference of one criterion over another, which is usually reflected by imposing the non-negativity and unit-sum constraints. The processing of such priorities is different than other unconstrained data, but this point is often neglected by researchers, which results in fallacious statistical analysis. This article studies three prevalent fallacies in group MCDM along with solutions based on compositional data analysis to avoid misusing statistical operations. First, we use a compositional approach to aggregate the priorities of a group of DMs and show that the outcome of the compositional analysis is identical to the normalized geometric mean, meaning that the arithmetic mean should be avoided. Furthermore, a new aggregation method is developed, which is a robust surrogate for the geometric mean. We also discuss the errors in computing measures of dispersion, including standard deviation and distance functions. Discussing the fallacies in computing the standard deviation, we provide a probabilistic criteria ranking by developing proper Bayesian tests, where we calculate the extent to which a criterion is more important than another. Finally, we explain the errors in computing the distance between priorities, and a clustering algorithm is specially tailored based on proper distance metrics.




Abstract:This paper presents a Bayesian framework predicated on a probabilistic interpretation of the MCDM problems and encompasses several well-known multi-criteria decision-making (MCDM) methods. Owing to the flexibility of Bayesian models, the proposed framework can address several long-standing, fundamental challenges in MCDM, including group decision-making problems and criteria correlation, in a statistically elegant way. Also, the model can accommodate different forms of uncertainty in the preferences of the decision makers (DMs), such as normal and triangular distributions and interval preferences. Further, a probabilistic mixture model is developed that can group the DMs into several exhaustive classes. A probabilistic ranking scheme is also designed for both criteria and alternatives, where it identifies the extent to which one criterion/alternative is more important than another based on the DM(s) preferences. The experiments validate the outcome of the proposed framework on several numerical examples and highlight its salient features compared to other methods.




Abstract:Health care professionals rely on treatment search engines to efficiently find adequate clinical trials and early access programs for their patients. However, doctors lose trust in the system if its underlying processes are unclear and unexplained. In this paper, a model-agnostic explainable method is developed to provide users with further information regarding the reasons why a clinical trial is retrieved in response to a query. To accomplish this, the engine generates features from clinical trials using by using a knowledge graph, clinical trial data and additional medical resources. and a crowd-sourcing methodology is used to determine their importance. Grounded on the proposed methodology, the rationale behind retrieving the clinical trials is explained in layman's terms so that healthcare processionals can effortlessly perceive them. In addition, we compute an explainability score for each of the retrieved items, according to which the items can be ranked. The experiments validated by medical professionals suggest that the proposed methodology induces trust in targeted as well as in non-targeted users, and provide them with reliable explanations and ranking of retrieved items.




Abstract:$\ell_1$ regularization has been used for logistic regression to circumvent the overfitting and use the estimated sparse coefficient for feature selection. However, the challenge of such a regularization is that the $\ell_1$ norm is not differentiable, making the standard algorithms for convex optimization not applicable to this problem. This paper presents a simple projection neural network for $\ell_1$-regularized logistics regression. In contrast to many available solvers in the literature, the proposed neural network does not require any extra auxiliary variable nor any smooth approximation, and its complexity is almost identical to that of the gradient descent for logistic regression without $\ell_1$ regularization, thanks to the projection operator. We also investigate the convergence of the proposed neural network by using the Lyapunov theory and show that it converges to a solution of the problem with any arbitrary initial value. The proposed neural solution significantly outperforms state-of-the-art methods with respect to the execution time and is competitive in terms of accuracy and AUROC.




Abstract:Simulated annealing-based ontology matching (SANOM) participates for the second time at the ontology alignment evaluation initiative (OAEI) 2019. This paper contains the configuration of SANOM and its results on the anatomy and conference tracks. In comparison to the OAEI 2017, SANOM has improved significantly, and its results are competitive with the state-of-the-art systems. In particular, SANOM has the highest recall rate among the participated systems in the conference track, and is competitive with AML, the best performing system, in terms of F-measure. SANOM is also competitive with LogMap on the anatomy track, which is the best performing system in this track with no usage of particular biomedical background knowledge. SANOM has been adapted to the HOBBIT platfrom and is now available for the registered users.




Abstract:Ontology alignment is widely-used to find the correspondences between different ontologies in diverse fields.After discovering the alignments,several performance scores are available to evaluate them.The scores typically require the identified alignment and a reference containing the underlying actual correspondences of the given ontologies.The current trend in the alignment evaluation is to put forward a new score(e.g., precision, weighted precision, etc.)and to compare various alignments by juxtaposing the obtained scores. However,it is substantially provocative to select one measure among others for comparison.On top of that, claiming if one system has a better performance than one another cannot be substantiated solely by comparing two scalars.In this paper,we propose the statistical procedures which enable us to theoretically favor one system over one another.The McNemar's test is the statistical means by which the comparison of two ontology alignment systems over one matching task is drawn.The test applies to a 2x2 contingency table which can be constructed in two different ways based on the alignments,each of which has their own merits/pitfalls.The ways of the contingency table construction and various apposite statistics from the McNemar's test are elaborated in minute detail.In the case of having more than two alignment systems for comparison, the family-wise error rate is expected to happen. Thus, the ways of preventing such an error are also discussed.A directed graph visualizes the outcome of the McNemar's test in the presence of multiple alignment systems.From this graph, it is readily understood if one system is better than one another or if their differences are imperceptible.The proposed statistical methodologies are applied to the systems participated in the OAEI 2016 anatomy track, and also compares several well-known similarity metrics for the same matching problem.