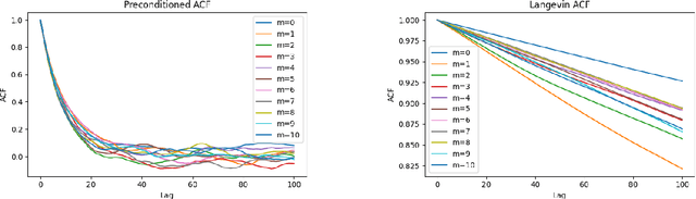
Abstract:Designing algorithms for solving high-dimensional Bayesian inverse problems directly in infinite-dimensional function spaces - where such problems are naturally formulated - is crucial to ensure stability and convergence as the discretization of the underlying problem is refined. In this paper, we contribute to this line of work by analyzing a widely used sampler for linear inverse problems: Langevin dynamics driven by score-based generative models (SGMs) acting as priors, formulated directly in function space. Building on the theoretical framework for SGMs in Hilbert spaces, we give a rigorous definition of this sampler in the infinite-dimensional setting and derive, for the first time, error estimates that explicitly depend on the approximation error of the score. As a consequence, we obtain sufficient conditions for global convergence in Kullback-Leibler divergence on the underlying function space. Preventing numerical instabilities requires preconditioning of the Langevin algorithm and we prove the existence and the form of an optimal preconditioner. The preconditioner depends on both the score error and the forward operator and guarantees a uniform convergence rate across all posterior modes. Our analysis applies to both Gaussian and a general class of non-Gaussian priors. Finally, we present examples that illustrate and validate our theoretical findings.
Abstract:We introduce Neural Discrete Equilibrium (NeurDE), a machine learning (ML) approach for long-term forecasting of flow phenomena that relies on a "lifting" of physical conservation laws into the framework of kinetic theory. The kinetic formulation provides an excellent structure for ML algorithms by separating nonlinear, non-local physics into a nonlinear but local relaxation to equilibrium and a linear non-local transport. This separation allows the ML to focus on the local nonlinear components while addressing the simpler linear transport with efficient classical numerical algorithms. To accomplish this, we design an operator network that maps macroscopic observables to equilibrium states in a manner that maximizes entropy, yielding expressive BGK-type collisions. By incorporating our surrogate equilibrium into the lattice Boltzmann (LB) algorithm, we achieve accurate flow forecasts for a wide range of challenging flows. We show that NeurDE enables accurate prediction of compressible flows, including supersonic flows, while tracking shocks over hundreds of time steps, using a small velocity lattice-a heretofore unattainable feat without expensive numerical root finding.
Abstract:Many numerical algorithms in scientific computing -- particularly in areas like numerical linear algebra, PDE simulation, and inverse problems -- produce outputs that can be represented by semialgebraic functions; that is, the graph of the computed function can be described by finitely many polynomial equalities and inequalities. In this work, we introduce Semialgebraic Neural Networks (SANNs), a neural network architecture capable of representing any bounded semialgebraic function, and computing such functions up to the accuracy of a numerical ODE solver chosen by the programmer. Conceptually, we encode the graph of the learned function as the kernel of a piecewise polynomial selected from a class of functions whose roots can be evaluated using a particular homotopy continuation method. We show by construction that the SANN architecture is able to execute this continuation method, thus evaluating the learned semialgebraic function. Furthermore, the architecture can exactly represent even discontinuous semialgebraic functions by executing a continuation method on each connected component of the target function. Lastly, we provide example applications of these networks and show they can be trained with traditional deep-learning techniques.

Abstract:We consider the problem of discretization of neural operators between Hilbert spaces in a general framework including skip connections. We focus on bijective neural operators through the lens of diffeomorphisms in infinite dimensions. Framed using category theory, we give a no-go theorem that shows that diffeomorphisms between Hilbert spaces or Hilbert manifolds may not admit any continuous approximations by diffeomorphisms on finite-dimensional spaces, even if the approximations are nonlinear. The natural way out is the introduction of strongly monotone diffeomorphisms and layerwise strongly monotone neural operators which have continuous approximations by strongly monotone diffeomorphisms on finite-dimensional spaces. For these, one can guarantee discretization invariance, while ensuring that finite-dimensional approximations converge not only as sequences of functions, but that their representations converge in a suitable sense as well. Finally, we show that bilipschitz neural operators may always be written in the form of an alternating composition of strongly monotone neural operators, plus a simple isometry. Thus we realize a rigorous platform for discretization of a generalization of a neural operator. We also show that neural operators of this type may be approximated through the composition of finite-rank residual neural operators, where each block is strongly monotone, and may be inverted locally via iteration. We conclude by providing a quantitative approximation result for the discretization of general bilipschitz neural operators.




Abstract:We introduce the Seismic Language Model (SeisLM), a foundational model designed to analyze seismic waveforms -- signals generated by Earth's vibrations such as the ones originating from earthquakes. SeisLM is pretrained on a large collection of open-source seismic datasets using a self-supervised contrastive loss, akin to BERT in language modeling. This approach allows the model to learn general seismic waveform patterns from unlabeled data without being tied to specific downstream tasks. When fine-tuned, SeisLM excels in seismological tasks like event detection, phase-picking, onset time regression, and foreshock-aftershock classification. The code has been made publicly available on https://github.com/liutianlin0121/seisLM.
Abstract:Transformers are deep architectures that define "in-context mappings" which enable predicting new tokens based on a given set of tokens (such as a prompt in NLP applications or a set of patches for vision transformers). This work studies in particular the ability of these architectures to handle an arbitrarily large number of context tokens. To mathematically and uniformly address the expressivity of these architectures, we consider the case that the mappings are conditioned on a context represented by a probability distribution of tokens (discrete for a finite number of tokens). The related notion of smoothness corresponds to continuity in terms of the Wasserstein distance between these contexts. We demonstrate that deep transformers are universal and can approximate continuous in-context mappings to arbitrary precision, uniformly over compact token domains. A key aspect of our results, compared to existing findings, is that for a fixed precision, a single transformer can operate on an arbitrary (even infinite) number of tokens. Additionally, it operates with a fixed embedding dimension of tokens (this dimension does not increase with precision) and a fixed number of heads (proportional to the dimension). The use of MLP layers between multi-head attention layers is also explicitly controlled.


Abstract:Score-based diffusion models (SDMs) offer a flexible approach to sample from the posterior distribution in a variety of Bayesian inverse problems. In the literature, the prior score is utilized to sample from the posterior by different methods that require multiple evaluations of the forward mapping in order to generate a single posterior sample. These methods are often designed with the objective of enabling the direct use of the unconditional prior score and, therefore, task-independent training. In this paper, we focus on linear inverse problems, when evaluation of the forward mapping is computationally expensive and frequent posterior sampling is required for new measurement data, such as in medical imaging. We demonstrate that the evaluation of the forward mapping can be entirely bypassed during posterior sample generation. Instead, without introducing any error, the computational effort can be shifted to an offline task of training the score of a specific diffusion-like random process. In particular, the training is task-dependent requiring information about the forward mapping but not about the measurement data. It is shown that the conditional score corresponding to the posterior can be obtained from the auxiliary score by suitable affine transformations. We prove that this observation generalizes to the framework of infinite-dimensional diffusion models introduced recently and provide numerical analysis of the method. Moreover, we validate our findings with numerical experiments.
Abstract:This work introduces a sampling method capable of solving Bayesian inverse problems in function space. It does not assume the log-concavity of the likelihood, meaning that it is compatible with nonlinear inverse problems. The method leverages the recently defined infinite-dimensional score-based diffusion models as a learning-based prior, while enabling provable posterior sampling through a Langevin-type MCMC algorithm defined on function spaces. A novel convergence analysis is conducted, inspired by the fixed-point methods established for traditional regularization-by-denoising algorithms and compatible with weighted annealing. The obtained convergence bound explicitly depends on the approximation error of the score; a well-approximated score is essential to obtain a well-approximated posterior. Stylized and PDE-based examples are provided, demonstrating the validity of our convergence analysis. We conclude by presenting a discussion of the method's challenges related to learning the score and computational complexity.




Abstract:Implicit neural representations (INRs) have arisen as useful methods for representing signals on Euclidean domains. By parameterizing an image as a multilayer perceptron (MLP) on Euclidean space, INRs effectively represent signals in a way that couples spatial and spectral features of the signal that is not obvious in the usual discrete representation, paving the way for continuous signal processing and machine learning approaches that were not previously possible. Although INRs using sinusoidal activation functions have been studied in terms of Fourier theory, recent works have shown the advantage of using wavelets instead of sinusoids as activation functions, due to their ability to simultaneously localize in both frequency and space. In this work, we approach such INRs and demonstrate how they resolve high-frequency features of signals from coarse approximations done in the first layer of the MLP. This leads to multiple prescriptions for the design of INR architectures, including the use of complex wavelets, decoupling of low and band-pass approximations, and initialization schemes based on the singularities of the desired signal.




Abstract:Phase association groups seismic wave arrivals according to their originating earthquakes. It is a fundamental task in a seismic data processing pipeline, but challenging to perform for smaller, high-rate seismic events which carry fundamental information about earthquake dynamics, especially with a commonly assumed inaccurate wave speed model. As a consequence, most association methods focus on larger events that occur at a lower rate and are thus easier to associate, even though microseismicity provides a valuable description of the elastic medium properties in the subsurface. In this paper, we show that association is possible at rates much higher than previously reported even when the wave speed is unknown. We propose Harpa, a high-rate seismic phase association method which leverages deep neural fields to build generative models of wave speeds and associated travel times, and first solves a joint spatio--temporal source localization and wave speed recovery problem, followed by association. We obviate the need for associated phases by interpreting arrival time data as probability measures and using an optimal transport loss to enforce data fidelity. The joint recovery problem is known to admit a unique solution under certain conditions but due to the non-convexity of the corresponding loss a simple gradient scheme converges to poor local minima. We show that this is effectively mitigated by stochastic gradient Langevin dynamics (SGLD). Numerical experiments show that \harpa~efficiently associates high-rate seismicity clouds over complex, unknown wave speeds and graciously handles noisy and missing picks.