

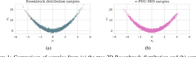
This work introduces a sampling method capable of solving Bayesian inverse problems in function space. It does not assume the log-concavity of the likelihood, meaning that it is compatible with nonlinear inverse problems. The method leverages the recently defined infinite-dimensional score-based diffusion models as a learning-based prior, while enabling provable posterior sampling through a Langevin-type MCMC algorithm defined on function spaces. A novel convergence analysis is conducted, inspired by the fixed-point methods established for traditional regularization-by-denoising algorithms and compatible with weighted annealing. The obtained convergence bound explicitly depends on the approximation error of the score; a well-approximated score is essential to obtain a well-approximated posterior. Stylized and PDE-based examples are provided, demonstrating the validity of our convergence analysis. We conclude by presenting a discussion of the method's challenges related to learning the score and computational complexity.