Abstract:Despite recent advances in population-based structural health monitoring (PBSHM), knowledge transfer between highly-disparate structures (i.e., heterogeneous populations) remains a challenge. The current work proposes that heterogeneous transfer may be accomplished via intermediate structures that bridge the gap in information between the structures of interest. A key aspect of the technique is the idea that by varying parameters such as material properties and geometry, one structure can be continuously morphed into another. The approach is demonstrated via a case study involving the parameterisation of (and transfer between) simulated heterogeneous bridge designs (Case 1). Transfer between simplified physical representations of a 'bridge' and 'aeroplane' is then demonstrated in Case 2, via a chain of finite-element models. The facetious question 'When is a bridge not an aeroplane?' has been previously asked in the context of predicting positive transfer based on structural similarity. While the obvious answer to this question is 'Always,' the results presented in the current paper show that, in some cases, positive transfer can indeed be achieved between highly-disparate systems.
Abstract:Data for training structural health monitoring (SHM) systems are often expensive and/or impractical to obtain, particularly for labelled data. Population-based SHM (PBSHM) aims to address this limitation by leveraging data from multiple structures. However, data from different structures will follow distinct distributions, potentially leading to large generalisation errors for models learnt via conventional machine learning methods. To address this issue, transfer learning -- in the form of domain adaptation (DA) -- can be used to align the data distributions. Most previous approaches have only considered \emph{unsupervised} DA, where no labelled target data are available; they do not consider how to incorporate these technologies in an online framework -- updating as labels are obtained throughout the monitoring campaign. This paper proposes a Bayesian framework for DA in PBSHM, that can improve unsupervised DA mappings using a limited quantity of labelled target data. In addition, this model is integrated into an active sampling strategy to guide inspections to select the most informative observations to label -- leading to further reductions in the required labelled data to learn a target classifier. The effectiveness of this methodology is evaluated on a population of experimental bridges. Specifically, this population includes data corresponding to several damage states, as well as, a comprehensive set of environmental conditions. It is found that combining transfer learning and active learning can improve data efficiency when learning classification models in label-scarce scenarios. This result has implications for data-informed operation and maintenance of structures, suggesting a reduction in inspections over the operational lifetime of a structure -- and therefore a reduction in operational costs -- can be achieved.
Abstract:Whenever data-based systems are employed in engineering applications, defining an optimal statistical representation is subject to the problem of model selection. This paper focusses on how well models can generalise in Structural Health Monitoring (SHM). Although statistical model validation in this field is often performed heuristically, it is possible to estimate generalisation more rigorously using the bounds provided by Statistical Learning Theory (SLT). Therefore, this paper explores the selection process of a kernel smoother for modelling the impulse response of a linear oscillator from the perspective of SLT. It is demonstrated that incorporating domain knowledge into the regression problem yields a lower guaranteed risk, thereby enhancing generalisation.




Abstract:Population-based structural health monitoring (PBSHM), aims to share information between members of a population. An offshore wind (OW) farm could be considered as a population of nominally-identical wind-turbine structures. However, benign variations exist among members, such as geometry, sea-bed conditions and temperature differences. These factors could influence structural properties and therefore the dynamic response, making it more difficult to detect structural problems via traditional SHM techniques. This paper explores the use of a hierarchical Bayesian model to infer expected soil stiffness distributions at both population and local levels, as a basis to perform anomaly detection, in the form of scour, for new and existing turbines. To do this, observations of natural frequency will be generated as though they are from a small population of wind turbines. Differences between individual observations will be introduced by postulating distributions over the soil stiffness and measurement noise, as well as reducing soil depth (to represent scour), in the case of anomaly detection.
Abstract:An important challenge faced by wind farm operators is to reduce operation and maintenance cost. Structural health monitoring provides a means of cost reduction through minimising unnecessary maintenance trips as well as prolonging turbine service life. Population-based structural health monitoring can further reduce the cost of health monitoring systems by implementing one system for multiple structures (i.e.~turbines). At the same time, shared data within a population of structures may improve the predictions of structural behaviour. To monitor turbine performance at a population/farm level, an important initial step is to construct a model that describes the behaviour of all turbines under normal conditions. This paper proposes a population-level model that explicitly captures the spatial and temporal correlations (between turbines) induced by the wake effect. The proposed model is a Gaussian process-based spatial autoregressive model, named here a GP-SPARX model. This approach is developed since (a) it reflects our physical understanding of the wake effect, and (b) it benefits from a stochastic data-based learner. A case study is provided to demonstrate the capability of the GP-SPARX model in capturing spatial and temporal variations as well as its potential applicability in a health monitoring system.




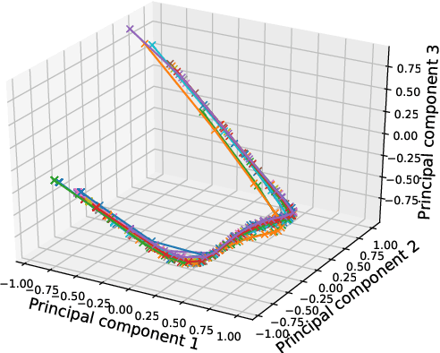
Abstract:Machine learning has affected the way in which many phenomena for various domains are modelled, one of these domains being that of structural dynamics. However, because machine-learning algorithms are problem-specific, they often fail to perform efficiently in cases of data scarcity. To deal with such issues, combination of physics-based approaches and machine learning algorithms have been developed. Although such methods are effective, they also require the analyser's understanding of the underlying physics of the problem. The current work is aimed at motivating the use of models which learn such relationships from a population of phenomena, whose underlying physics are similar. The development of such models is motivated by the way that physics-based models, and more specifically finite element models, work. Such models are considered transferrable, explainable and trustworthy, attributes which are not trivially imposed or achieved for machine-learning models. For this reason, machine-learning approaches are less trusted by industry and often considered more difficult to form validated models. To achieve such data-driven models, a population-based scheme is followed here and two different machine-learning algorithms from the meta-learning domain are used. The two algorithms are the model-agnostic meta-learning (MAML) algorithm and the conditional neural processes (CNP) model. The algorithms seem to perform as intended and outperform a traditional machine-learning algorithm at approximating the quantities of interest. Moreover, they exhibit behaviour similar to traditional machine learning algorithms (e.g. neural networks or Gaussian processes), concerning their performance as a function of the available structures in the training population.




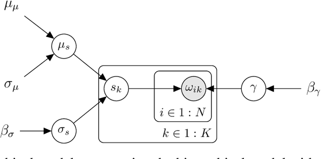
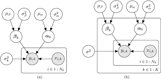
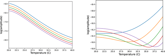
Abstract:Population-based structural health monitoring (PBSHM) aims to share valuable information among members of a population, such as normal- and damage-condition data, to improve inferences regarding the health states of the members. Even when the population is comprised of nominally-identical structures, benign variations among the members will exist as a result of slight differences in material properties, geometry, boundary conditions, or environmental effects (e.g., temperature changes). These discrepancies can affect modal properties and present as changes in the characteristics of the resonance peaks of the frequency response function (FRF). Many SHM strategies depend on monitoring the dynamic properties of structures, so benign variations can be challenging for the practical implementation of these systems. Another common challenge with vibration-based SHM is data loss, which may result from transmission issues, sensor failure, a sample-rate mismatch between sensors, and other causes. Missing data in the time domain will result in decreased resolution in the frequency domain, which can impair dynamic characterisation. The hierarchical Bayesian approach provides a useful modelling structure for PBSHM, because statistical distributions at the population and individual (or domain) level are learnt simultaneously to bolster statistical strength among the parameters. As a result, variance is reduced among the parameter estimates, particularly when data are limited. In this paper, combined probabilistic FRF models are developed for a small population of nominally-identical helicopter blades under varying temperature conditions, using a hierarchical Bayesian structure. These models address critical challenges in SHM, by accommodating benign variations that present as differences in the underlying dynamics, while also considering (and utilising), the similarities among the blades.




Abstract:There have been recent efforts to move to population-based structural health monitoring (PBSHM) systems. One area of PBSHM which has been recognised for potential development is the use of multi-task learning (MTL); algorithms which differ from traditional independent learning algorithms. Presented here is the use of the MTL, ''Joint Feature Selection with LASSO'', to provide automatic feature selection for a structural dataset. The classification task is to differentiate between the port and starboard side of a tailplane, for samples from two aircraft of the same model. The independent learner produced perfect F1 scores but had poor engineering insight; whereas the MTL results were interpretable, highlighting structural differences as opposed to differences in experimental set-up.




Abstract:A major problem of machine-learning approaches in structural dynamics is the frequent lack of structural data. Inspired by the recently-emerging field of population-based structural health monitoring (PBSHM), and the use of transfer learning in this novel field, the current work attempts to create models that are able to transfer knowledge within populations of structures. The approach followed here is meta-learning, which is developed with a view to creating neural network models which are able to exploit knowledge from a population of various tasks to perform well in newly-presented tasks, with minimal training and a small number of data samples from the new task. Essentially, the method attempts to perform transfer learning in an automatic manner within the population of tasks. For the purposes of population-based structural modelling, the different tasks refer to different structures. The method is applied here to a population of simulated structures with a view to predicting their responses as a function of some environmental parameters. The meta-learning approach, which is used herein is the model-agnostic meta-learning (MAML) approach; it is compared to a traditional data-driven modelling approach, that of Gaussian processes, which is a quite effective alternative when few data samples are available for a problem. It is observed that the models trained using meta-learning approaches, are able to outperform conventional machine learning methods regarding inference about structures of the population, for which only a small number of samples are available. Moreover, the models prove to learn part of the physics of the problem, making them more robust than plain machine-learning algorithms. Another advantage of the methods is that the structures do not need to be parametrised in order for the knowledge transfer to be performed.




Abstract:A major problem of structural health monitoring (SHM) has been the prognosis of damage and the definition of the remaining useful life of a structure. Both tasks depend on many parameters, many of which are often uncertain. Many models have been developed for the aforementioned tasks but they have been either deterministic or stochastic with the ability to take into account only a restricted amount of past states of the structure. In the current work, a generative model is proposed in order to make predictions about the damage evolution of structures. The model is able to perform in a population-based SHM (PBSHM) framework, to take into account many past states of the damaged structure, to incorporate uncertainties in the modelling process and to generate potential damage evolution outcomes according to data acquired from a structure. The algorithm is tested on a simulated damage evolution example and the results reveal that it is able to provide quite confident predictions about the remaining useful life of structures within a population.