



Abstract:Machine learning has affected the way in which many phenomena for various domains are modelled, one of these domains being that of structural dynamics. However, because machine-learning algorithms are problem-specific, they often fail to perform efficiently in cases of data scarcity. To deal with such issues, combination of physics-based approaches and machine learning algorithms have been developed. Although such methods are effective, they also require the analyser's understanding of the underlying physics of the problem. The current work is aimed at motivating the use of models which learn such relationships from a population of phenomena, whose underlying physics are similar. The development of such models is motivated by the way that physics-based models, and more specifically finite element models, work. Such models are considered transferrable, explainable and trustworthy, attributes which are not trivially imposed or achieved for machine-learning models. For this reason, machine-learning approaches are less trusted by industry and often considered more difficult to form validated models. To achieve such data-driven models, a population-based scheme is followed here and two different machine-learning algorithms from the meta-learning domain are used. The two algorithms are the model-agnostic meta-learning (MAML) algorithm and the conditional neural processes (CNP) model. The algorithms seem to perform as intended and outperform a traditional machine-learning algorithm at approximating the quantities of interest. Moreover, they exhibit behaviour similar to traditional machine learning algorithms (e.g. neural networks or Gaussian processes), concerning their performance as a function of the available structures in the training population.




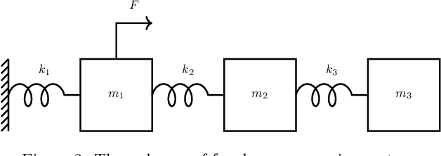
Abstract:A major problem of machine-learning approaches in structural dynamics is the frequent lack of structural data. Inspired by the recently-emerging field of population-based structural health monitoring (PBSHM), and the use of transfer learning in this novel field, the current work attempts to create models that are able to transfer knowledge within populations of structures. The approach followed here is meta-learning, which is developed with a view to creating neural network models which are able to exploit knowledge from a population of various tasks to perform well in newly-presented tasks, with minimal training and a small number of data samples from the new task. Essentially, the method attempts to perform transfer learning in an automatic manner within the population of tasks. For the purposes of population-based structural modelling, the different tasks refer to different structures. The method is applied here to a population of simulated structures with a view to predicting their responses as a function of some environmental parameters. The meta-learning approach, which is used herein is the model-agnostic meta-learning (MAML) approach; it is compared to a traditional data-driven modelling approach, that of Gaussian processes, which is a quite effective alternative when few data samples are available for a problem. It is observed that the models trained using meta-learning approaches, are able to outperform conventional machine learning methods regarding inference about structures of the population, for which only a small number of samples are available. Moreover, the models prove to learn part of the physics of the problem, making them more robust than plain machine-learning algorithms. Another advantage of the methods is that the structures do not need to be parametrised in order for the knowledge transfer to be performed.
Abstract:A framework is proposed for generative models as a basis for digital twins or mirrors of structures. The proposal is based on the premise that deterministic models cannot account for the uncertainty present in most structural modelling applications. Two different types of generative models are considered here. The first is a physics-based model based on the stochastic finite element (SFE) method, which is widely used when modelling structures that have material and loading uncertainties imposed. Such models can be calibrated according to data from the structure and would be expected to outperform any other model if the modelling accurately captures the true underlying physics of the structure. The potential use of SFE models as digital mirrors is illustrated via application to a linear structure with stochastic material properties. For situations where the physical formulation of such models does not suffice, a data-driven framework is proposed, using machine learning and conditional generative adversarial networks (cGANs). The latter algorithm is used to learn the distribution of the quantity of interest in a structure with material nonlinearities and uncertainties. For the examples considered in this work, the data-driven cGANs model outperform the physics-based approach. Finally, an example is shown where the two methods are coupled such that a hybrid model approach is demonstrated.




Abstract:In the current work, a problem-splitting approach and a scheme motivated by transfer learning is applied to a structural health monitoring problem. The specific problem in this case is that of localising damage on an aircraft wing. The original experiment is described, together with the initial approach, in which a neural network was trained to localise damage. The results were not ideal, partly because of a scarcity of training data, and partly because of the difficulty in resolving two of the damage cases. In the current paper, the problem is split into two sub-problems and an increase in classification accuracy is obtained. The sub-problems are obtained by separating out the most difficult-to-classify damage cases. A second approach to the problem is considered by adopting ideas from transfer learning (usually applied in much deeper) networks to see if a network trained on the simpler damage cases can help with feature extraction in the more difficult cases. The transfer of a fixed trained batch of layers between the networks is found to improve classification by making the classes more separable in the feature space and to speed up convergence.




Abstract:Attempts have been made recently in the field of population-based structural health monitoring (PBSHM), to transfer knowledge between SHM models of different structures. The attempts have been focussed on homogeneous and heterogeneous populations. A more general approach to transferring knowledge between structures, is by considering all plausible structures as points on a multidimensional base manifold and building a fibre bundle. The idea is quite powerful, since, a mapping between points in the base manifold and their fibres, the potential states of any arbitrary structure, can be learnt. A smaller scale problem, but still useful, is that of learning a specific point of every fibre, i.e. that corresponding to the undamaged state of structures within a population. Under the framework of PBSHM, a data-driven approach to the aforementioned problem is developed. Structures are converted into graphs and inference is attempted within a population, using a graph neural network (GNN) algorithm. The algorithm solves a major problem existing in such applications. Structures comprise different sizes and are defined as abstract objects, thus attempting to perform inference within a heterogeneous population is not trivial. The proposed approach is tested in a simulated population of trusses. The goal of the application is to predict the first natural frequency of trusses of different sizes, across different environmental temperatures and having different bar member types. After training the GNN using part of the total population, it was tested on trusses that were not included in the training dataset. Results show that the accuracy of the regression is satisfactory even in structures with higher number of nodes and members than those used to train it.




Abstract:A powerful approach, and one of the most common ones in structural health monitoring (SHM), is to use data-driven models to make predictions and inferences about structures and their condition. Such methods almost exclusively rely on the quality of the data. Within the SHM discipline, data do not always suffice to build models with satisfactory accuracy for given tasks. Even worse, data may be completely missing from one's dataset, regarding the behaviour of a structure under different environmental conditions. In the current work, with a view to confronting such issues, the generation of artificial data using a variation of the generative adversarial network (GAN) algorithm, is used. The aforementioned variation is that of the conditional GAN or cGAN. The algorithm is not only used to generate artificial data, but also to learn transformations of manifolds according to some known parameters. Assuming that the structure's response is represented by points in a manifold, part of the space will be formed due to variations in external conditions affecting the structure. This idea proves efficient in SHM, as it is exploited to generate structural data for specific values of environmental coefficients. The scheme is applied here on a simulated structure which operates under different temperature and humidity conditions. The cGAN is trained on data for some discrete values of the temperature within some range, and is able to generate data for every temperature in this range with satisfactory accuracy. The novelty, compared to classic regression in similar problems, is that the cGAN allows unknown environmental parameters to affect the structure and can generate whole manifolds of data for every value of the known parameters, while the unknown ones vary within the generated manifolds.




Abstract:Linear modal analysis is a useful and effective tool for the design and analysis of structures. However, a comprehensive basis for nonlinear modal analysis remains to be developed. In the current work, a machine learning scheme is proposed with a view to performing nonlinear modal analysis. The scheme is focussed on defining a one-to-one mapping from a latent `modal' space to the natural coordinate space, whilst also imposing orthogonality of the mode shapes. The mapping is achieved via the use of the recently-developed cycle-consistent generative adversarial network (cycle-GAN) and an assembly of neural networks targeted on maintaining the desired orthogonality. The method is tested on simulated data from structures with cubic nonlinearities and different numbers of degrees of freedom, and also on data from an experimental three-degree-of-freedom set-up with a column-bumper nonlinearity. The results reveal the method's efficiency in separating the `modes'. The method also provides a nonlinear superposition function, which in most cases has very good accuracy.