Abstract:A text-to-speech (TTS) model trained to reconstruct speech given text tends towards predictions that are close to the average characteristics of a dataset, failing to model the variations that make human speech sound natural. This problem is magnified for zero-shot voice cloning, a task that requires training data with high variance in speaking styles. We build off of recent works which have used Generative Advsarial Networks (GAN) by proposing a Transformer encoder-decoder architecture to conditionally discriminates between real and generated speech features. The discriminator is used in a training pipeline that improves both the acoustic and prosodic features of a TTS model. We introduce our novel adversarial training technique by applying it to a FastSpeech2 acoustic model and training on Libriheavy, a large multi-speaker dataset, for the task of zero-shot voice cloning. Our model achieves improvements over the baseline in terms of speech quality and speaker similarity. Audio examples from our system are available online.




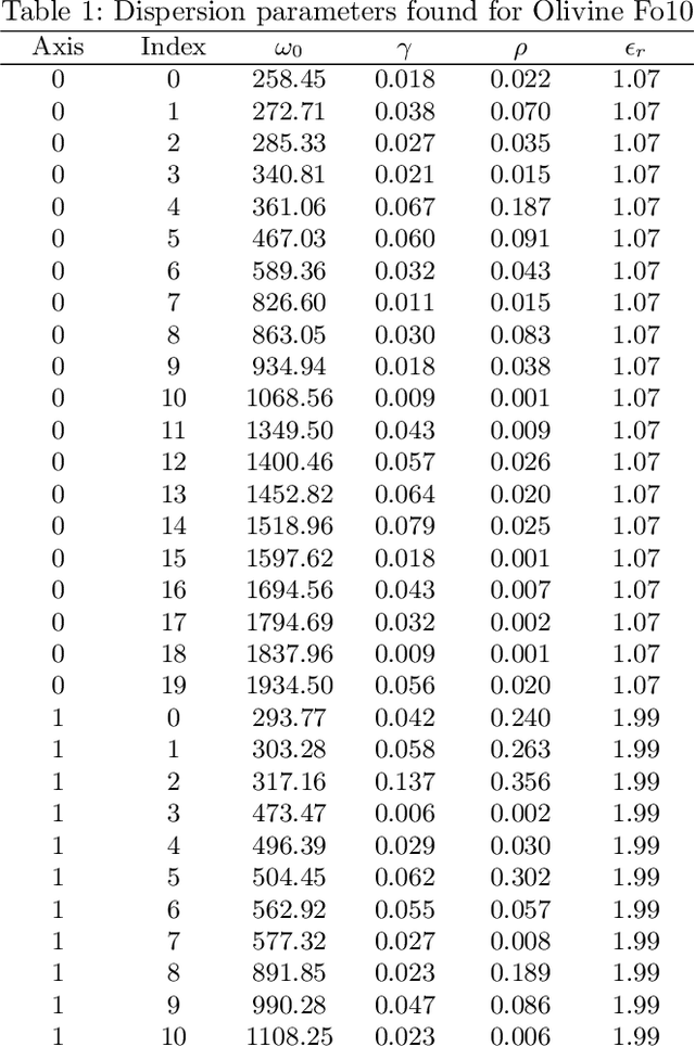
Abstract:Hyperspectral unmixing is an important remote sensing task with applications including material identification and analysis. Characteristic spectral features make many pure materials identifiable from their visible-to-infrared spectra, but quantifying their presence within a mixture is a challenging task due to nonlinearities and factors of variation. In this paper, spectral variation is considered from a physics-based approach and incorporated into an end-to-end spectral unmixing algorithm via differentiable programming. The dispersion model is introduced to simulate realistic spectral variation, and an efficient method to fit the parameters is presented. Then, this dispersion model is utilized as a generative model within an analysis-by-synthesis spectral unmixing algorithm. Further, a technique for inverse rendering using a convolutional neural network to predict parameters of the generative model is introduced to enhance performance and speed when training data is available. Results achieve state-of-the-art on both infrared and visible-to-near-infrared (VNIR) datasets, and show promise for the synergy between physics-based models and deep learning in hyperspectral unmixing in the future.