



Abstract:Learned image compression (LIC) has recently made significant progress, surpassing traditional methods. However, most LIC approaches operate mainly in the spatial domain and lack mechanisms for reducing frequency-domain correlations. To address this, we propose a novel framework that integrates low-complexity 3D multi-level Discrete Wavelet Transform (DWT) into convolutional layers and entropy coding, reducing both spatial and channel correlations to improve frequency selectivity and rate-distortion (R-D) performance. Our proposed 3D multi-level wavelet-domain convolution (3DM-WeConv) layer first applies 3D multi-level DWT (e.g., 5/3 and 9/7 wavelets from JPEG 2000) to transform data into the wavelet domain. Then, different-sized convolutions are applied to different frequency subbands, followed by inverse 3D DWT to restore the spatial domain. The 3DM-WeConv layer can be flexibly used within existing CNN-based LIC models. We also introduce a 3D wavelet-domain channel-wise autoregressive entropy model (3DWeChARM), which performs slice-based entropy coding in the 3D DWT domain. Low-frequency (LF) slices are encoded first to provide priors for high-frequency (HF) slices. A two-step training strategy is adopted: first balancing LF and HF rates, then fine-tuning with separate weights. Extensive experiments demonstrate that our framework consistently outperforms state-of-the-art CNN-based LIC methods in R-D performance and computational complexity, with larger gains for high-resolution images. On the Kodak, Tecnick 100, and CLIC test sets, our method achieves BD-Rate reductions of -12.24%, -15.51%, and -12.97%, respectively, compared to H.266/VVC.
Abstract:Learned image compression (LIC) techniques have achieved remarkable progress; however, effectively integrating high-level semantic information remains challenging. In this work, we present a \underline{S}emantic-\underline{E}nhanced \underline{L}earned \underline{I}mage \underline{C}ompression framework, termed \textbf{SELIC}, which leverages high-level textual guidance to improve rate-distortion performance. Specifically, \textbf{SELIC} employs a text encoder to extract rich semantic descriptions from the input image. These textual features are transformed into fixed-dimension tensors and seamlessly fused with the image-derived latent representation. By embedding the \textbf{SELIC} tensor directly into the compression pipeline, our approach enriches the bitstream without requiring additional inputs at the decoder, thereby maintaining fast and efficient decoding. Extensive experiments on benchmark datasets (e.g., Kodak) demonstrate that integrating semantic information substantially enhances compression quality. Our \textbf{SELIC}-guided method outperforms a baseline LIC model without semantic integration by approximately 0.1-0.15 dB across a wide range of bit rates in PSNR and achieves a 4.9\% BD-rate improvement over VVC. Moreover, this improvement comes with minimal computational overhead, making the proposed \textbf{SELIC} framework a practical solution for advanced image compression applications.
Abstract:Learned image compression (LIC) methods have recently outperformed traditional codecs such as VVC in rate-distortion performance. However, their large models and high computational costs have limited their practical adoption. In this paper, we first construct a high-capacity teacher model by integrating Swin-Transformer V2-based attention modules, additional residual blocks, and expanded latent channels, thus achieving enhanced compression performance. Building on this foundation, we propose a \underline{F}eature and \underline{E}ntropy-based \underline{D}istillation \underline{S}trategy (\textbf{FEDS}) that transfers key knowledge from the teacher to a lightweight student model. Specifically, we align intermediate feature representations and emphasize the most informative latent channels through an entropy-based loss. A staged training scheme refines this transfer in three phases: feature alignment, channel-level distillation, and final fine-tuning. Our student model nearly matches the teacher across Kodak (1.24\% BD-Rate increase), Tecnick (1.17\%), and CLIC (0.55\%) while cutting parameters by about 63\% and accelerating encoding/decoding by around 73\%. Moreover, ablation studies indicate that FEDS generalizes effectively to transformer-based networks. The experimental results demonstrate our approach strikes a compelling balance among compression performance, speed, and model parameters, making it well-suited for real-time or resource-limited scenarios.




Abstract:Deep learning-based image compression has made great progresses recently. However, many leading schemes use serial context-adaptive entropy model to improve the rate-distortion (R-D) performance, which is very slow. In addition, the complexities of the encoding and decoding networks are quite high and not suitable for many practical applications. In this paper, we introduce four techniques to balance the trade-off between the complexity and performance. We are the first to introduce deformable convolutional module in compression framework, which can remove more redundancies in the input image, thereby enhancing compression performance. Second, we design a checkerboard context model with two separate distribution parameter estimation networks and different probability models, which enables parallel decoding without sacrificing the performance compared to the sequential context-adaptive model. Third, we develop an improved three-step knowledge distillation and training scheme to achieve different trade-offs between the complexity and the performance of the decoder network, which transfers both the final and intermediate results of the teacher network to the student network to help its training. Fourth, we introduce $L_{1}$ regularization to make the numerical values of the latent representation more sparse. Then we only encode non-zero channels in the encoding and decoding process, which can greatly reduce the encoding and decoding time. Experiments show that compared to the state-of-the-art learned image coding scheme, our method can be about 20 times faster in encoding and 70-90 times faster in decoding, and our R-D performance is also $2.3 \%$ higher. Our method outperforms the traditional approach in H.266/VVC-intra (4:4:4) and some leading learned schemes in terms of PSNR and MS-SSIM metrics when testing on Kodak and Tecnick-40 datasets.
Abstract:Encoding the Region Of Interest (ROI) with better quality than the background has many applications including video conferencing systems, video surveillance and object-oriented vision tasks. In this paper, we propose a ROI-based image compression framework with Swin transformers as main building blocks for the autoencoder network. The binary ROI mask is integrated into different layers of the network to provide spatial information guidance. Based on the ROI mask, we can control the relative importance of the ROI and non-ROI by modifying the corresponding Lagrange multiplier $ \lambda $ for different regions. Experimental results show our model achieves higher ROI PSNR than other methods and modest average PSNR for human evaluation. When tested on models pre-trained with original images, it has superior object detection and instance segmentation performance on the COCO validation dataset.




Abstract:Contemporary lossy image and video coding standards rely on transform coding, the process through which pixels are mapped to an alternative representation to facilitate efficient data compression. Despite impressive performance of end-to-end optimized compression with deep neural networks, the high computational and space demands of these models has prevented them from superseding the relatively simple transform coding found in conventional video codecs. In this study, we propose learned transforms and entropy coding that may either serve as (non)linear drop-in replacements, or enhancements for linear transforms in existing codecs. These transforms can be multi-rate, allowing a single model to operate along the entire rate-distortion curve. To demonstrate the utility of our framework, we augmented the DCT with learned quantization matrices and adaptive entropy coding to compress intra-frame AV1 block prediction residuals. We report substantial BD-rate and perceptual quality improvements over more complex nonlinear transforms at a fraction of the computational cost.




Abstract:Recently, deep learning-based image compression has made signifcant progresses, and has achieved better ratedistortion (R-D) performance than the latest traditional method, H.266/VVC, in both subjective metric and the more challenging objective metric. However, a major problem is that many leading learned schemes cannot maintain a good trade-off between performance and complexity. In this paper, we propose an effcient and effective image coding framework, which achieves similar R-D performance with lower complexity than the state of the art. First, we develop an improved multi-scale residual block (MSRB) that can expand the receptive feld and is easier to obtain global information. It can further capture and reduce the spatial correlation of the latent representations. Second, a more advanced importance map network is introduced to adaptively allocate bits to different regions of the image. Third, we apply a 2D post-quantization flter (PQF) to reduce the quantization error, motivated by the Sample Adaptive Offset (SAO) flter in video coding. Moreover, We fnd that the complexity of encoder and decoder have different effects on image compression performance. Based on this observation, we design an asymmetric paradigm, in which the encoder employs three stages of MSRBs to improve the learning capacity, whereas the decoder only needs one stage of MSRB to yield satisfactory reconstruction, thereby reducing the decoding complexity without sacrifcing performance. Experimental results show that compared to the state-of-the-art method, the encoding and decoding time of the proposed method are about 17 times faster, and the R-D performance is only reduced by less than 1% on both Kodak and Tecnick datasets, which is still better than H.266/VVC(4:4:4) and other recent learning-based methods. Our source code is publicly available at https://github.com/fengyurenpingsheng.




Abstract:Video streaming usage has seen a significant rise as entertainment, education, and business increasingly rely on online video. Optimizing video compression has the potential to increase access and quality of content to users, and reduce energy use and costs overall. In this paper, we present an application of the MuZero algorithm to the challenge of video compression. Specifically, we target the problem of learning a rate control policy to select the quantization parameters (QP) in the encoding process of libvpx, an open source VP9 video compression library widely used by popular video-on-demand (VOD) services. We treat this as a sequential decision making problem to maximize the video quality with an episodic constraint imposed by the target bitrate. Notably, we introduce a novel self-competition based reward mechanism to solve constrained RL with variable constraint satisfaction difficulty, which is challenging for existing constrained RL methods. We demonstrate that the MuZero-based rate control achieves an average 6.28% reduction in size of the compressed videos for the same delivered video quality level (measured as PSNR BD-rate) compared to libvpx's two-pass VBR rate control policy, while having better constraint satisfaction behavior.




Abstract:Motion compensated prediction is central to the efficiency of video compression. Its predictive coding scheme propagates the quantization distortion through the prediction chain and creates a temporal dependency. Prior research typically models the distortion propagation based on the similarity between original pixels under the assumption of high resolution quantization. Its efficacy in the low to medium bit-rate range, where the quantization step size is largely comparable to the magnitude of the residual signals, is questionable. This work proposes a quantitative approach to estimating the temporal dependency. It evaluates the rate and distortion for each coding block using the original and the reconstructed motion compensation reference blocks, respectively. Their difference effectively measures how the quantization error in the reference block impacts the coding efficiency of the current block. A recursive update process is formulated to track such dependency through a group of pictures. The proposed scheme quantifies the temporal dependency more accurately across a wide range of operating bit-rates, which translates into considerable coding performance gains over the existing contenders as demonstrated in the experiments.




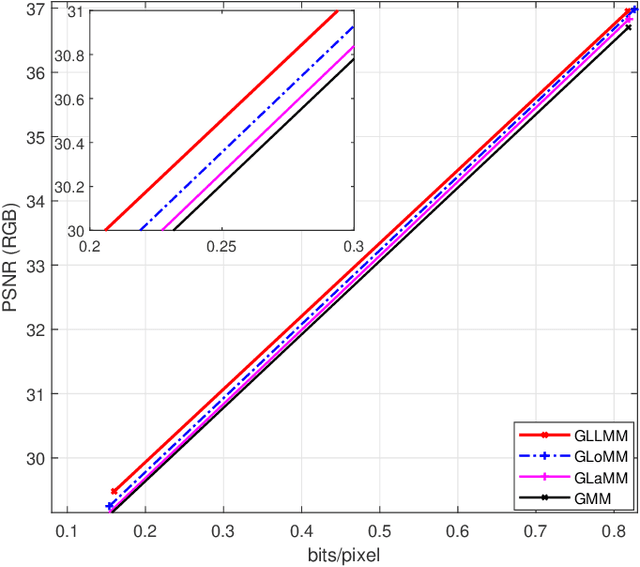
Abstract:Recently deep learning-based image compression methods have achieved significant achievements and gradually outperformed traditional approaches including the latest standard Versatile Video Coding (VVC) in both PSNR and MS-SSIM metrics. Two key components of learned image compression frameworks are the entropy model of the latent representations and the encoding/decoding network architectures. Various models have been proposed, such as autoregressive, softmax, logistic mixture, Gaussian mixture, and Laplacian. Existing schemes only use one of these models. However, due to the vast diversity of images, it is not optimal to use one model for all images, even different regions of one image. In this paper, we propose a more flexible discretized Gaussian-Laplacian-Logistic mixture model (GLLMM) for the latent representations, which can adapt to different contents in different images and different regions of one image more accurately. Besides, in the encoding/decoding network design part, we propose a concatenated residual blocks (CRB), where multiple residual blocks are serially connected with additional shortcut connections. The CRB can improve the learning ability of the network, which can further improve the compression performance. Experimental results using the Kodak and Tecnick datasets show that the proposed scheme outperforms all the state-of-the-art learning-based methods and existing compression standards including VVC intra coding (4:4:4 and 4:2:0) in terms of the PSNR and MS-SSIM. The project page is at \url{https://github.com/fengyurenpingsheng/Learned-image-compression-with-GLLMM}