Abstract:In every imaging or sensing application, the physical hardware creates constraints that must be overcome or they limit system performance. Techniques that leverage additional degrees of freedom can effectively extend performance beyond the inherent physical capabilities of the hardware. An example includes synchronizing distributed sensors so as to synthesize a larger aperture for remote sensing applications. An additional example is integrating the communication and sensing functions in a wireless system through the clever design of waveforms and optimized resource management. As these technologies mature beyond the conceptual and prototype phase they will ultimately transition to the commercial market. Here, standards play a critical role in ensuring success. Standards ensure interoperability between systems manufactured by different vendors and define industry best practices for vendors and customers alike. The Signal Processing Society of the Institute for Electrical and Electronics Engineers (IEEE) plays a leading role in developing high-quality standards for computational sensing technologies through the working groups of the Synthetic Aperture Standards Committee (SASC). In this column we highlight the standards activities of the P3383 Performance Metrics for Integrated Sensing and Communication (ISAC) Systems Working Group and the P3343 Spatio-Temporal Synchronization of a Synthetic Aperture of Distributed Sensors Working Group.
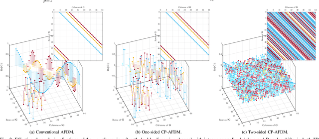
Abstract:We present a novel multicarrier waveform, termed chirp-permuted affine frequency division multiplexing (CP-AFDM), which introduces a unique chirp-permutation domain on top of the chirp subcarriers of the conventional AFDM. Rigorous analysis of the signal model and waveform properties, supported by numerical simulations, demonstrates that the proposed CP-AFDM preserves all core characteristics of affine frequency division multiplexing (AFDM) - including robustness to doubly-dispersive channels, peak-to-average power ratio (PAPR), and full delay-Doppler representation - while further enhancing ambiguity function resolution and peak-to-sidelobe ratio (PSLR) in the Doppler domain. These improvements establish CP-AFDM as a highly attractive candidate for emerging sixth generation (6G) use cases demanding both reliability and sensing-awareness. Moreover, by exploiting the vast degree of freedom in the chirp-permutation domain, two exemplary multifunctional applications are introduced: an index modulation (IM) technique over the permutation domain which achieves significant spectral efficiency gains, and a physical-layer security scheme that ensures practically perfect security through permutation-based keying, without requiring additional transmit energy or signaling overhead.
Abstract:The doubly-dispersive (DD) channel structure has played a pivotal role in wireless communications, particularly in high-mobility scenarios and integrated sensing and communications (ISAC), due to its ability to capture the key fading effects experienced by a transmitted signal as it propagates through a dynamic medium. However, extending the DD framework to multiple-input multiple-output (MIMO) systems, especially in environments artificially enhanced by reconfigurable intelligent surfaces (RISs) and stacked intelligent metasurfaces (SIM), remains a challenging open problem. In this chapter, a novel metasurfaces-parametrized DD (MPDD) channel model that integrates an arbitrary number of RISs, while also incorporating SIM at both the transmitter and receiver is introduced. Next, the application of this model to some key waveforms optimized for DD environments -- namely orthogonal frequency division multiplexing (OFDM), orthogonal time frequency space (OTFS), and affine frequency division multiplexing (AFDM) -- is discussed. Finally, the programmability of the proposed model is highlighted through an illustrative application, demonstrating its potential for enhancing waveform performance in SIM-assisted wireless systems.
Abstract:We propose a framework to design integrated communication and computing (ICC) receivers capable of simultaneously detecting data symbols and performing over-the-air computing (AirComp) in a manner that: a) is systematically generalizable to any nomographic function, b) scales to a massive number of user equipments (UEs) and edge devices (EDs), c) supports the computation of multiple independent functions (streams), and d) operates in a multi-access fashion whereby each transmitter can choose to transmit either data symbols, computing signals or both. For the sake of illustration, we design the proposed multi-stream and multi-access method under an uplink setting, where multiple single-antenna UEs/EDs simultaneously transmit data and computing signals to a single multiple-antenna base station (BS)/access point (AP). Under the communication functionality, the receiver aims to detect all independent communication symbols while treating the computing streams as aggregate interference which it seeks to mitigate; and conversely, under the computing functionality, to minimize the distortion over the computing streams while minimizing their mutual interference as well as the interference due to data symbols. To that end, the design leverages the Gaussian belief propagation (GaBP) framework relying only on element-wise scalar operations coupled with closed-form combiners purpose-built for the AirComp operation, which allows for its use in massive settings, as demonstrated by simulation results incorporating up to 200 antennas and 300 UEs/EDs. The efficacy of the proposed method under different loading conditions is also evaluated, with the performance of the scheme shown to approach fundamental limiting bounds in the under/fully loaded cases.
Abstract:We propose a new waveform suitable for integrated sensing and communications (ISAC) systems facing doubly-dispersive (DD) channel conditions, as typically encountered in high mobility scenarios. Dubbed Affine Filter Bank Modulation (AFBM), this novel waveform is designed based on a filter-bank structure, known for its ability to suppress out-of-band emissions (OOBE), while integrating a discrete affine Fourier transform (DAFT) precoding stage which yields low peak-to-average power ratio (PAPR) and robustness to DD distortion, as well as other features desirable for ISAC. Analytical and simulation results demonstrate that AFBM maintains quasi-orthogonality similar to that of affine frequency division multiplexing (AFDM) in DD channels, while achieving PAPR levels 3 dB lower, in addition to OOBE as low as -100 dB when implemented with PHYDYAS prototype filters.




Abstract:An undesirable consequence of the foreseeable proliferation of sophisticated integrated sensing and communications (ISAC) technologies is the enabling of spoofing, by malicious agents, of situational information (such as proximity, direction or location) of legitimate users of wireless systems. In order to mitigate this threat, we present a novel ISAC scheme that, aided by a reconfigurable intelligent surface (RIS), enables the occultation of the positions of user equipment (UE) from wiretappers, while maintaining both sensing and desired communication performance between the UEs and a legitimate base station (BS). To that end, we first formulate an RIS phase-shift optimization problem that jointly maximizes the sum-rate performance of the UEs (communication objective), while minimizing the projection of the wiretapper's effective channel onto the legitimate channel (hiding objective), thereby disrupting the attempts by a wiretapper of localizing the UEs. Then, in order to efficiently solve the resulting non-convex joint optimization problem, a novel manifold optimization algorithm is derived, whose effectiveness is validated by numerical results, which demonstrate that the proposed approach preserves legitimate ISAC performance while significantly degrading the wiretapper's sensing capability.

Abstract:Inspired by recent developments in various areas of science relevant to quantum computing, we introduce quantum manifold optimization (QMO) as a promising framework for solving constrained optimization problems in next-generation wireless communication systems. We begin by showing how classical wireless design problems - such as pilot design in cell-free (CF)-massive MIMO (mMIMO), beamformer optimization in gigantic multiple input multiple output (MIMO), and reconfigurable intelligent surface (RIS) phase tuning - naturally reside on structured manifolds like the Stiefel, Grassmannian, and oblique manifolds, with the latter novelly formulated in this work. Then, we demonstrate how these problems can be reformulated as trace-based quantum expectation values over variationally-encoded quantum states. While theoretical in scope, the work lays a foundation for a new class of quantum optimization algorithms with broad application to the design of future beyond-sixth-generation (B6G) systems.
Abstract:This article presents a novel physical-layer secure communications scheme based on the recently discovered chirp-permuted affine frequency division multiplexing (AFDM) waveform, which results in a completely different received signal to the eavesdropper with the incorrect chirp-permutation order, even under co-located eavesdropping with perfect channel information. The security of the proposed scheme is studied in terms of the complexity required to find the correct permutation via classical and quantum search algorithms, which are shown to be infeasible due the factorially-scaling search space, as well as theoretical and simulated analyses of a random-guess approach, indicating an infeasible probability of breach by chance.




Abstract:Introduced with the advent of statistical wireless channel models for high mobility communications and having a profound role in communication-centric (CC) integrated sensing and communications (ISAC), the doubly-dispersive (DD) channel structure has long been heralded as a useful tool enabling the capture of the most important fading effects undergone by an arbitrary time-domain transmit signal propagating through some medium. However, the incorporation of this model into multiple-input multiple-output (MIMO) system setups, relying on the recent paradigm-shifting transceiver architecture based on stacked intelligent metasurfaces (SIM), in an environment with reconfigurable intelligent surfaces (RISs) remains an open problem due to the many intricate details that have to be accounted for. In this paper, we fill this gap by introducing a novel DD MIMO channel model that incorporates an arbitrary number of RISs in the ambient, as well as SIMs equipping both the transmitter and receiver. We then discuss how the proposed metasurfaces-parametrized DD (MPDD) channel model can be seamlessly applied to waveforms that are known to perform well in DD environments, namely, orthogonal frequency division multiplexing (OFDM), orthogonal time frequency space (OTFS), and affine frequency division multiplexing (AFDM), with each having their own inherent advantages and disadvantages. An illustrative application of the programmable functionality of the proposed model is finally presented to showcase its potential for boosting the performance of the aforementioned waveforms. Our numerical results indicate that the design of waveforms suitable to mitigating the effects of DD channels is significantly impacted by the emerging SIM technology.
Abstract:We propose a quantum-assisted solution for the maximum likelihood detection (MLD) of generalized spatial modulation (GSM) signals. Specifically, the MLD of GSM is first formulated as a novel polynomial optimization problem, followed by the application of a quantum algorithm, namely, the Grover adaptive search. The performance in terms of query complexity of the proposed method is evaluated and compared to the classical alternative via a numerical analysis, which reveals that under fault-tolerant quantum computation, the proposed method outperforms the classical solution if the number of data symbols and the constellation size are relatively large.