



Abstract:Recent advancements in Large Language Models (LLMs) have significantly improved text generation capabilities. However, they also present challenges, particularly in generating vaccine-related misinformation, which poses risks to public health. Despite research on human-authored misinformation, a notable gap remains in understanding how LLMs contribute to vaccine misinformation and how best to detect it. Existing benchmarks often overlook vaccine-specific misinformation and the diverse roles of misinformation spreaders. This paper introduces VaxGuard, a novel dataset designed to address these challenges. VaxGuard includes vaccine-related misinformation generated by multiple LLMs and provides a comprehensive framework for detecting misinformation across various roles. Our findings show that GPT-3.5 and GPT-4o consistently outperform other LLMs in detecting misinformation, especially when dealing with subtle or emotionally charged narratives. On the other hand, PHI3 and Mistral show lower performance, struggling with precision and recall in fear-driven contexts. Additionally, detection performance tends to decline as input text length increases, indicating the need for improved methods to handle larger content. These results highlight the importance of role-specific detection strategies and suggest that VaxGuard can serve as a key resource for improving the detection of LLM-generated vaccine misinformation.




Abstract:The rapid advancement of Intelligent Transportation Systems (ITS) presents challenges, particularly with missing data in multi-modal transportation and the complexity of handling diverse sequential tasks within a centralized framework. To address these issues, we propose the Spatial-Temporal Large Language Model Diffusion (STLLM-DF), an innovative model that leverages Denoising Diffusion Probabilistic Models (DDPMs) and Large Language Models (LLMs) to improve multi-task transportation prediction. The DDPM's robust denoising capabilities enable it to recover underlying data patterns from noisy inputs, making it particularly effective in complex transportation systems. Meanwhile, the non-pretrained LLM dynamically adapts to spatial-temporal relationships within multi-modal networks, allowing the system to efficiently manage diverse transportation tasks in both long-term and short-term predictions. Extensive experiments demonstrate that STLLM-DF consistently outperforms existing models, achieving an average reduction of 2.40\% in MAE, 4.50\% in RMSE, and 1.51\% in MAPE. This model significantly advances centralized ITS by enhancing predictive accuracy, robustness, and overall system performance across multiple tasks, thus paving the way for more effective spatio-temporal traffic forecasting through the integration of frozen transformer language models and diffusion techniques.




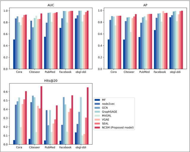
Abstract:Link prediction is a key aspect of graph machine learning, with applications as diverse as disease prediction, social network recommendations, and drug discovery. It involves predicting new links that may form between network nodes. Despite the clear importance of link prediction, existing models have significant shortcomings. Graph Convolutional Networks, for instance, have been proven to be highly efficient for link prediction on a variety of datasets. However, they encounter severe limitations when applied to short-path networks and ego networks, resulting in poor performance. This presents a critical problem space that this work aims to address. In this paper, we present the Node Centrality and Similarity Based Parameterised Model (NCSM), a novel method for link prediction tasks. NCSM uniquely integrates node centrality and similarity measures as edge features in a customised Graph Neural Network (GNN) layer, effectively leveraging the topological information of large networks. This model represents the first parameterised GNN-based link prediction model that considers topological information. The proposed model was evaluated on five benchmark graph datasets, each comprising thousands of nodes and edges. Experimental results highlight NCSM's superiority over existing state-of-the-art models like Graph Convolutional Networks and Variational Graph Autoencoder, as it outperforms them across various metrics and datasets. This exceptional performance can be attributed to NCSM's innovative integration of node centrality, similarity measures, and its efficient use of topological information.