Abstract:Time-series clustering is a fundamental tool for pattern discovery, yet existing explainability methods, primarily based on feature attribution or metadata, fail to identify the transitions that move an instance across cluster boundaries. While Counterfactual Explanations (CEs) identify the minimal temporal perturbations required to alter the prediction of a model, they have been mostly confined to supervised settings. This paper introduces GALACTIC, the first unified framework to bridge local and global counterfactual explainability for unsupervised time-series clustering. At instance level (local), GALACTIC generates perturbations via a cluster-aware optimization objective that respects the target and underlying cluster assignments. At cluster level (global), to mitigate cognitive load and enhance interpretability, we formulate a representative CE selection problem. We propose a Minimum Description Length (MDL) objective to extract a non-redundant summary of global explanations that characterize the transitions between clusters. We prove that our MDL objective is supermodular, which allows the corresponding MDL reduction to be framed as a monotone submodular set function. This enables an efficient greedy selection algorithm with provable $(1-1/e)$ approximation guarantees. Extensive experimental evaluation on the UCR Archive demonstrates that GALACTIC produces significantly sparser local CEs and more concise global summaries than state-of-the-art baselines adapted for our problem, offering the first unified approach for interpreting clustered time-series through counterfactuals.
Abstract:As AI and web agents become pervasive in decision-making, it is critical to design intelligent systems that not only support sustainability efforts but also guard against misinformation. Greenwashing, i.e., misleading corporate sustainability claims, poses a major challenge to environmental progress. To address this challenge, we introduce EmeraldMind, a fact-centric framework integrating a domain-specific knowledge graph with retrieval-augmented generation to automate greenwashing detection. EmeraldMind builds the EmeraldGraph from diverse corporate ESG (environmental, social, and governance) reports, surfacing verifiable evidence, often missing in generic knowledge bases, and supporting large language models in claim assessment. The framework delivers justification-centric classifications, presenting transparent, evidence-backed verdicts and abstaining responsibly when claims cannot be verified. Experiments on a new greenwashing claims dataset demonstrate that EmeraldMind achieves competitive accuracy, greater coverage, and superior explanation quality compared to generic LLMs, without the need for fine-tuning or retraining.
Abstract:Counterfactual explanations (CFEs) are a popular approach for interpreting machine learning predictions by identifying minimal feature changes that alter model outputs. However, in real-world settings, users often refine feasibility constraints over time, requiring counterfactual generation to adapt dynamically. Existing methods fail to support such iterative updates, instead recomputing explanations from scratch with each change, an inefficient and rigid approach. We propose User-Guided Incremental Counterfactual Exploration (UGCE), a genetic algorithm-based framework that incrementally updates counterfactuals in response to evolving user constraints. Experimental results across five benchmark datasets demonstrate that UGCE significantly improves computational efficiency while maintaining high-quality solutions compared to a static, non-incremental approach. Our evaluation further shows that UGCE supports stable performance under varying constraint sequences, benefits from an efficient warm-start strategy, and reveals how different constraint types may affect search behavior.
Abstract:As Artificial Intelligence (AI) is increasingly used in areas that significantly impact human lives, concerns about fairness and transparency have grown, especially regarding their impact on protected groups. Recently, the intersection of explainability and fairness has emerged as an important area to promote responsible AI systems. This paper explores how explainability methods can be leveraged to detect and interpret unfairness. We propose a pipeline that integrates local post-hoc explanation methods to derive fairness-related insights. During the pipeline design, we identify and address critical questions arising from the use of explanations as bias detectors such as the relationship between distributive and procedural fairness, the effect of removing the protected attribute, the consistency and quality of results across different explanation methods, the impact of various aggregation strategies of local explanations on group fairness evaluations, and the overall trustworthiness of explanations as bias detectors. Our results show the potential of explanation methods used for fairness while highlighting the need to carefully consider the aforementioned critical aspects.
Abstract:Counterfactuals have been recognized as an effective approach to explain classifier decisions. Nevertheless, they have not yet been considered in the context of clustering. In this work, we propose the use of counterfactuals to explain clustering solutions. First, we present a general definition for counterfactuals for model-based clustering that includes plausibility and feasibility constraints. Then we consider the counterfactual generation problem for k-means and Gaussian clustering assuming Euclidean distance. Our approach takes as input the factual, the target cluster, a binary mask indicating actionable or immutable features and a plausibility factor specifying how far from the cluster boundary the counterfactual should be placed. In the k-means clustering case, analytical mathematical formulas are presented for computing the optimal solution, while in the Gaussian clustering case (assuming full, diagonal, or spherical covariances) our method requires the numerical solution of a nonlinear equation with a single parameter only. We demonstrate the advantages of our approach through illustrative examples and quantitative experimental comparisons.




Abstract:This paper introduces the first graph-based framework for generating group counterfactual explanations to audit model fairness, a crucial aspect of trustworthy machine learning. Counterfactual explanations are instrumental in understanding and mitigating unfairness by revealing how inputs should change to achieve a desired outcome. Our framework, named Feasible Group Counterfactual Explanations (FGCEs), captures real-world feasibility constraints and constructs subgroups with similar counterfactuals, setting it apart from existing methods. It also addresses key trade-offs in counterfactual generation, including the balance between the number of counterfactuals, their associated costs, and the breadth of coverage achieved. To evaluate these trade-offs and assess fairness, we propose measures tailored to group counterfactual generation. Our experimental results on benchmark datasets demonstrate the effectiveness of our approach in managing feasibility constraints and trade-offs, as well as the potential of our proposed metrics in identifying and quantifying fairness issues.
Abstract:Path-based explanations provide intrinsic insights into graph-based recommendation models. However, most previous work has focused on explaining an individual recommendation of an item to a user. In this paper, we propose summary explanations, i.e., explanations that highlight why a user or a group of users receive a set of item recommendations and why an item, or a group of items, is recommended to a set of users as an effective means to provide insights into the collective behavior of the recommender. We also present a novel method to summarize explanations using efficient graph algorithms, specifically the Steiner Tree and the Prize-Collecting Steiner Tree. Our approach reduces the size and complexity of summary explanations while preserving essential information, making explanations more comprehensible for users and more useful to model developers. Evaluations across multiple metrics demonstrate that our summaries outperform baseline explanation methods in most scenarios, in a variety of quality aspects.




Abstract:In this paper, we present a comprehensive survey on the pervasive issue of medical misinformation in social networks from the perspective of information technology. The survey aims at providing a systematic review of related research and helping researchers and practitioners navigate through this fast-changing field. Specifically, we first present manual and automatic approaches for fact-checking. We then explore fake news detection methods, using content, propagation features, or source features, as well as mitigation approaches for countering the spread of misinformation. We also provide a detailed list of several datasets on health misinformation and of publicly available tools. We conclude the survey with a discussion on the open challenges and future research directions in the battle against health misinformation.
Abstract:Algorithmic fairness and explainability are foundational elements for achieving responsible AI. In this paper, we focus on their interplay, a research area that is recently receiving increasing attention. To this end, we first present two comprehensive taxonomies, each representing one of the two complementary fields of study: fairness and explanations. Then, we categorize explanations for fairness into three types: (a) Explanations to enhance fairness metrics, (b) Explanations to help us understand the causes of (un)fairness, and (c) Explanations to assist us in designing methods for mitigating unfairness. Finally, based on our fairness and explanation taxonomies, we present undiscovered literature paths revealing gaps that can serve as valuable insights for future research.




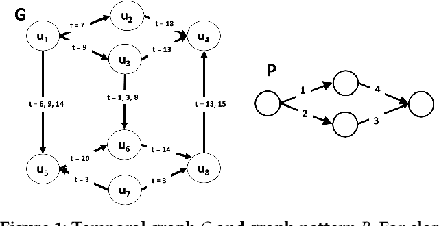
Abstract:The primary objective of graph pattern matching is to find all appearances of an input graph pattern query in a large data graph. Such appearances are called matches. In this paper, we are interested in finding matches of interaction patterns in temporal graphs. To this end, we propose a hybrid approach that achieves effective filtering of potential matches based both on structure and time. Our approach exploits a graph representation where edges are ordered by time. We present experiments with real datasets that illustrate the efficiency of our approach.