Abstract:Human pose estimation is a critical tool across a variety of healthcare applications. Despite significant progress in pose estimation algorithms targeting adults, such developments for infants remain limited. Existing algorithms for infant pose estimation, despite achieving commendable performance, depend on fully supervised approaches that require large amounts of labeled data. These algorithms also struggle with poor generalizability under distribution shifts. To address these challenges, we introduce SHIFT: Leveraging SyntHetic Adult Datasets for Unsupervised InFanT Pose Estimation, which leverages the pseudo-labeling-based Mean-Teacher framework to compensate for the lack of labeled data and addresses distribution shifts by enforcing consistency between the student and the teacher pseudo-labels. Additionally, to penalize implausible predictions obtained from the mean-teacher framework, we incorporate an infant manifold pose prior. To enhance SHIFT's self-occlusion perception ability, we propose a novel visibility consistency module for improved alignment of the predicted poses with the original image. Extensive experiments on multiple benchmarks show that SHIFT significantly outperforms existing state-of-the-art unsupervised domain adaptation (UDA) pose estimation methods by 5% and supervised infant pose estimation methods by a margin of 16%. The project page is available at: https://sarosijbose.github.io/SHIFT.





Abstract:This paper presents a comprehensive analysis of the contact force profile of a single-cell bidirectional soft pneumatic actuator, specifically designed to aid in the abduction and adduction of the shoulder for pediatric exosuits. The actuator was embedded in an infant-scale test rig featuring two degrees of freedom: an actuated revolute joint supporting shoulder abduction/adduction and a passive (but lockable) revolute joint supporting elbow flexion/extension. Integrated load cells and an encoder within the rig were used to measure the force applied by the actuator and the shoulder joint angle, respectively. The actuator's performance was evaluated under various anchoring points and elbow joint angles. Experimental results demonstrate that optimal performance, characterized by maximum range of motion and minimal force applied on the torso and upper arm, can be achieved when the actuator is anchored at two-thirds the length of the upper arm, with the elbow joint positioned at a 90-degree angle. The force versus pressure and joint angle graphs reveal nonlinear and hysteresis behaviors. The findings of this study yield insights about optimal anchoring points and elbow angles to minimize exerted forces without reducing the range of motion.





Abstract:This paper focuses on the design and systematic evaluation of fabric-based, bellow-type soft pneumatic actuators to assist with flexion and extension of the elbow, intended for use in infant wearable devices. Initially, the performance of a range of actuator variants was explored via simulation. The actuator variants were parameterized based on the shape, number, and size of the cells present. Subsequently, viable actuator variants identified from the simulations were fabricated and underwent further testing on a physical model based on an infant's body anthropometrics. The performance of these variants was evaluated based on kinematic analyses using metrics including movement smoothness, path length, and elbow joint angle. Internal pressure of the actuators was also attained. Taken together, results reported herein provide valuable insights about the suitability of several actuator designs to serve as components for pediatric wearable assistive devices.





Abstract:Promoting exploratory movements through contingent feedback can positively influence motor development in infancy. Our ongoing work gears toward the development of a robot-assisted contingency learning environment through the use of small aerial robots. This paper examines whether aerial robots and their associated motion controllers can be used to achieve efficient and highly-responsive robot flight for our purpose. Infant kicking kinematic data were extracted from videos and used in simulation and physical experiments with an aerial robot. The efficacy of two standard of practice controllers was assessed: a linear PID and a nonlinear geometric controller. The ability of the robot to match infant kicking trajectories was evaluated qualitatively and quantitatively via the mean squared error (to assess overall deviation from the input infant leg trajectory signals), and dynamic time warping algorithm (to quantify the signal synchrony). Results demonstrate that it is in principle possible to track infant kicking trajectories with small aerials robots, and identify areas of further development required to improve the tracking quality.





Abstract:Action recognition is an important component to improve autonomy of physical rehabilitation devices, such as wearable robotic exoskeletons. Existing human action recognition algorithms focus on adult applications rather than pediatric ones. In this paper, we introduce BabyNet, a light-weight (in terms of trainable parameters) network structure to recognize infant reaching action from off-body stationary cameras. We develop an annotated dataset that includes diverse reaches performed while in a sitting posture by different infants in unconstrained environments (e.g., in home settings, etc.). Our approach uses the spatial and temporal connection of annotated bounding boxes to interpret onset and offset of reaching, and to detect a complete reaching action. We evaluate the efficiency of our proposed approach and compare its performance against other learning-based network structures in terms of capability of capturing temporal inter-dependencies and accuracy of detection of reaching onset and offset. Results indicate our BabyNet can attain solid performance in terms of (average) testing accuracy that exceeds that of other larger networks, and can hence serve as a light-weight data-driven framework for video-based infant reaching action recognition.





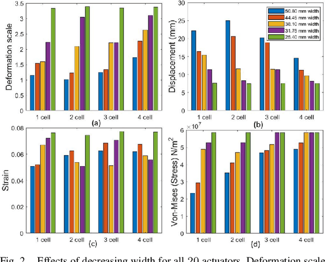
Abstract:This paper presents the design and assessment of a fabric-based soft pneumatic actuator with low pressurization requirements for actuation making it suitable for upper extremity assistive devices for infants. The goal is to support shoulder abduction and adduction without prohibiting motion in other planes or obstructing elbow joint motion. First, the performance of a family of actuator designs with internal air cells is explored via simulation. The actuators are parameterized by the number of cells and their width. Physically viable actuator variants identified through the simulation are further tested via hardware experiments. Two designs are selected and tested on a custom-built physical model based on an infant's body anthropometrics. Comparisons between force exerted to lift the arm, movement smoothness, path length and maximum shoulder angle reached inform which design is better suited for its use as an actuator for pediatric wearable assistive devices, along with other insights for future work.





Abstract:This work focuses on closed-loop control based on proprioceptive feedback for a pneumatically-actuated soft wearable device aimed at future support of infant reaching tasks. The device comprises two soft pneumatic actuators (one textile-based and one silicone-casted) actively controlling two degrees-of-freedom per arm (shoulder adduction/abduction and elbow flexion/extension, respectively). Inertial measurement units (IMUs) attached to the wearable device provide real-time joint angle feedback. Device kinematics analysis is informed by anthropometric data from infants (arm lengths) reported in the literature. Range of motion and muscle co-activation patterns in infant reaching are considered to derive desired trajectories for the device's end-effector. Then, a proportional-derivative controller is developed to regulate the pressure inside the actuators and in turn move the arm along desired setpoints within the reachable workspace. Experimental results on tracking desired arm trajectories using an engineered mannequin are presented, demonstrating that the proposed controller can help guide the mannequin's wrist to the desired setpoints.
