



Abstract:Many machine learning applications can benefit from simulated data for systematic validation - in particular if real-life data is difficult to obtain or annotate. However, since simulations are prone to domain shift w.r.t. real-life data, it is crucial to verify the transferability of the obtained results. We propose a novel framework consisting of a generative label-to-image synthesis model together with different transferability measures to inspect to what extent we can transfer testing results of semantic segmentation models from synthetic data to equivalent real-life data. With slight modifications, our approach is extendable to, e.g., general multi-class classification tasks. Grounded on the transferability analysis, our approach additionally allows for extensive testing by incorporating controlled simulations. We validate our approach empirically on a semantic segmentation task on driving scenes. Transferability is tested using correlation analysis of IoU and a learned discriminator. Although the latter can distinguish between real-life and synthetic tests, in the former we observe surprisingly strong correlations of 0.7 for both cars and pedestrians.


Abstract:This article briefly explains our submitted approach to the DocEng'19 competition on extractive summarization. We implemented a recurrent neural network based model that learns to classify whether an article's sentence belongs to the corresponding extractive summary or not. We bypass the lack of large annotated news corpora for extractive summarization by generating extractive summaries from abstractive ones, which are available from the CNN corpus.



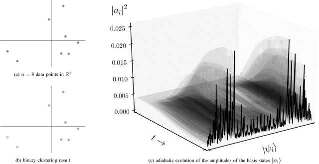
Abstract:Quantum computing for machine learning attracts increasing attention and recent technological developments suggest that especially adiabatic quantum computing may soon be of practical interest. In this paper, we therefore consider this paradigm and discuss how to adopt it to the problem of binary clustering. Numerical simulations demonstrate the feasibility of our approach and illustrate how systems of qubits adiabatically evolve towards a solution.