Abstract:We introduce the first best-of-both-worlds algorithm for contextual combinatorial semi-bandits that simultaneously guarantees $\widetilde{\mathcal{O}}(\sqrt{T})$ regret in the adversarial regime and $\widetilde{\mathcal{O}}(\ln T)$ regret in the corrupted stochastic regime. Our approach builds on the Follow-the-Regularized-Leader (FTRL) framework equipped with a Shannon entropy regularizer, yielding a flexible method that admits efficient implementations. Beyond regret bounds, we tackle the practical bottleneck in FTRL (or, equivalently, Online Stochastic Mirror Descent) arising from the high-dimensional projection step encountered in each round of interaction. By leveraging the Karush-Kuhn-Tucker conditions, we transform the $K$-dimensional convex projection problem into a single-variable root-finding problem, dramatically accelerating each round. Empirical evaluations demonstrate that this combined strategy not only attains the attractive regret bounds of best-of-both-worlds algorithms but also delivers substantial per-round speed-ups, making it well-suited for large-scale, real-time applications.




Abstract:We investigate group fairness regularizers in federated learning, aiming to train a globally fair model in a distributed setting. Ensuring global fairness in distributed training presents unique challenges, as fairness regularizers typically involve probability metrics between distributions across all clients and are not naturally separable by client. To address this, we introduce a function-tracking scheme for the global fairness regularizer based on a Maximum Mean Discrepancy (MMD), which incurs a small communication overhead. This scheme seamlessly integrates into most federated learning algorithms while preserving rigorous convergence guarantees, as demonstrated in the context of FedAvg. Additionally, when enforcing differential privacy, the kernel-based MMD regularization enables straightforward analysis through a change of kernel, leveraging an intuitive interpretation of kernel convolution. Numerical experiments confirm our theoretical insights.
Abstract:We study offline reinforcement learning problems with a long-run average reward objective. The state-action pairs generated by any fixed behavioral policy thus follow a Markov chain, and the {\em empirical} state-action-next-state distribution satisfies a large deviations principle. We use the rate function of this large deviations principle to construct an uncertainty set for the unknown {\em true} state-action-next-state distribution. We also construct a distribution shift transformation that maps any distribution in this uncertainty set to a state-action-next-state distribution of the Markov chain generated by a fixed evaluation policy, which may differ from the unknown behavioral policy. We prove that the worst-case average reward of the evaluation policy with respect to all distributions in the shifted uncertainty set provides, in a rigorous statistical sense, the least conservative estimator for the average reward under the unknown true distribution. This guarantee is available even if one has only access to one single trajectory of serially correlated state-action pairs. The emerging robust optimization problem can be viewed as a robust Markov decision process with a non-rectangular uncertainty set. We adapt an efficient policy gradient algorithm to solve this problem. Numerical experiments show that our methods compare favorably against state-of-the-art methods.

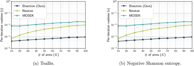
Abstract:Follow-The-Regularized-Leader (FTRL) algorithms often enjoy optimal regret for adversarial as well as stochastic bandit problems and allow for a streamlined analysis. Nonetheless, FTRL algorithms require the solution of an optimization problem in every iteration and are thus computationally challenging. In contrast, Follow-The-Perturbed-Leader (FTPL) algorithms achieve computational efficiency by perturbing the estimates of the rewards of the arms, but their regret analysis is cumbersome. We propose a new FTPL algorithm that generates optimal policies for both adversarial and stochastic multi-armed bandits. Like FTRL, our algorithm admits a unified regret analysis, and similar to FTPL, it offers low computational costs. Unlike existing FTPL algorithms that rely on independent additive disturbances governed by a \textit{known} distribution, we allow for disturbances governed by an \textit{ambiguous} distribution that is only known to belong to a given set and propose a principle of optimism in the face of ambiguity. Consequently, our framework generalizes existing FTPL algorithms. It also encapsulates a broad range of FTRL methods as special cases, including several optimal ones, which appears to be impossible with current FTPL methods. Finally, we use techniques from discrete choice theory to devise an efficient bisection algorithm for computing the optimistic arm sampling probabilities. This algorithm is up to $10^4$ times faster than standard FTRL algorithms that solve an optimization problem in every iteration. Our results not only settle existing conjectures but also provide new insights into the impact of perturbations by mapping FTRL to FTPL.




Abstract:The state-of-the-art methods for estimating high-dimensional covariance matrices all shrink the eigenvalues of the sample covariance matrix towards a data-insensitive shrinkage target. The underlying shrinkage transformation is either chosen heuristically - without compelling theoretical justification - or optimally in view of restrictive distributional assumptions. In this paper, we propose a principled approach to construct covariance estimators without imposing restrictive assumptions. That is, we study distributionally robust covariance estimation problems that minimize the worst-case Frobenius error with respect to all data distributions close to a nominal distribution, where the proximity of distributions is measured via a divergence on the space of covariance matrices. We identify mild conditions on this divergence under which the resulting minimizers represent shrinkage estimators. We show that the corresponding shrinkage transformations are intimately related to the geometrical properties of the underlying divergence. We also prove that our robust estimators are efficiently computable and asymptotically consistent and that they enjoy finite-sample performance guarantees. We exemplify our general methodology by synthesizing explicit estimators induced by the Kullback-Leibler, Fisher-Rao, and Wasserstein divergences. Numerical experiments based on synthetic and real data show that our robust estimators are competitive with state-of-the-art estimators.
Abstract:We derive the first large deviation rate function for the stochastic iterates generated by policy gradient methods with a softmax parametrization and an entropy regularized objective. Leveraging the contraction principle from large deviations theory, we also develop a general recipe for deriving exponential convergence rates for a wide spectrum of other policy parametrizations. This approach unifies several results from the literature and simplifies existing proof techniques.




Abstract:We introduce contextual stochastic bilevel optimization (CSBO) -- a stochastic bilevel optimization framework with the lower-level problem minimizing an expectation conditioned on some contextual information and the upper-level decision variable. This framework extends classical stochastic bilevel optimization when the lower-level decision maker responds optimally not only to the decision of the upper-level decision maker but also to some side information and when there are multiple or even infinite many followers. It captures important applications such as meta-learning, personalized federated learning, end-to-end learning, and Wasserstein distributionally robust optimization with side information (WDRO-SI). Due to the presence of contextual information, existing single-loop methods for classical stochastic bilevel optimization are unable to converge. To overcome this challenge, we introduce an efficient double-loop gradient method based on the Multilevel Monte-Carlo (MLMC) technique and establish its sample and computational complexities. When specialized to stochastic nonconvex optimization, our method matches existing lower bounds. For meta-learning, the complexity of our method does not depend on the number of tasks. Numerical experiments further validate our theoretical results.



Abstract:In the past few years, there has been considerable interest in two prominent approaches for Distributionally Robust Optimization (DRO): Divergence-based and Wasserstein-based methods. The divergence approach models misspecification in terms of likelihood ratios, while the latter models it through a measure of distance or cost in actual outcomes. Building upon these advances, this paper introduces a novel approach that unifies these methods into a single framework based on optimal transport (OT) with conditional moment constraints. Our proposed approach, for example, makes it possible for optimal adversarial distributions to simultaneously perturb likelihood and outcomes, while producing an optimal (in an optimal transport sense) coupling between the baseline model and the adversarial model.Additionally, the paper investigates several duality results and presents tractable reformulations that enhance the practical applicability of this unified framework.




Abstract:We develop a principled approach to end-to-end learning in stochastic optimization. First, we show that the standard end-to-end learning algorithm admits a Bayesian interpretation and trains a posterior Bayes action map. Building on the insights of this analysis, we then propose new end-to-end learning algorithms for training decision maps that output solutions of empirical risk minimization and distributionally robust optimization problems, two dominant modeling paradigms in optimization under uncertainty. Numerical results for a synthetic newsvendor problem illustrate the key differences between alternative training schemes. We also investigate an economic dispatch problem based on real data to showcase the impact of the neural network architecture of the decision maps on their test performance.


Abstract:We propose a policy gradient algorithm for robust infinite-horizon Markov Decision Processes (MDPs) with non-rectangular uncertainty sets, thereby addressing an open challenge in the robust MDP literature. Indeed, uncertainty sets that display statistical optimality properties and make optimal use of limited data often fail to be rectangular. Unfortunately, the corresponding robust MDPs cannot be solved with dynamic programming techniques and are in fact provably intractable. This prompts us to develop a projected Langevin dynamics algorithm tailored to the robust policy evaluation problem, which offers global optimality guarantees. We also propose a deterministic policy gradient method that solves the robust policy evaluation problem approximately, and we prove that the approximation error scales with a new measure of non-rectangularity of the uncertainty set. Numerical experiments showcase that our projected Langevin dynamics algorithm can escape local optima, while algorithms tailored to rectangular uncertainty fail to do so.