CNIT and University of Cassino and Southern Lazio, Cassino, Italy
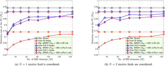
Abstract:This work investigates Distributed Detection (DD) in Wireless Sensor Networks (WSNs) utilizing channel-aware binary-decision fusion over a shared flat-fading channel. A reconfigurable metasurface, positioned in the near-field of a limited number of receive antennas, is integrated to enable a holographic Decision Fusion (DF) system. This approach minimizes the need for multiple RF chains while leveraging the benefits of a large array. The optimal fusion rule for a fixed metasurface configuration is derived, alongside two suboptimal joint fusion rule and metasurface design strategies. These suboptimal approaches strike a balance between reduced complexity and lower system knowledge requirements, making them practical alternatives. The design objective focuses on effectively conveying the information regarding the phenomenon of interest to the FC while promoting energy-efficient data analytics aligned with the Internet of Things (IoT) paradigm. Simulation results underscore the viability of holographic DF, demonstrating its advantages even with suboptimal designs and highlighting the significant energy-efficiency gains achieved by the proposed system.




Abstract:Reconfigurable intelligent surfaces (RISs) have become a promising candidate for the development of future mobile systems. In the context of massive machine-type communications (mMTC), a RIS can be used to support the transmission from a group of sensors to a collector node. Due to the short data packets, we focus on the design of the RIS for maximizing the weighted sum and minimum rates in the finite blocklength regime. Under the assumption of non-orthogonal multiple access, successive interference cancelation is considered as a decoding scheme to mitigate interference. Accordingly, we formulate the optimizations as non-convex problems and propose two sub-optimal solutions based on gradient ascent (GA) and sequential optimization (SO) with semi-definite relaxation (SDR). In the GA, we distinguish between Euclidean and Riemannian gradients. For the SO, we derive a concave lower bound for the throughput and maximize it sequentially applying SDR. Numerical results show that the SO can outperform the GA and that strategies relying on the optimization of the classical Shannon capacity might be inadequate for mMTC networks.




Abstract:We analyze the finite-block-length rate region of wireless systems aided by reconfigurable intelligent surfaces (RISs), employing treating interference as noise. We consider three nearly passive RIS architectures, including locally passive (LP) diagonal (D), globally passive (GP) D, and GP beyond diagonal (BD) RISs. In a GP RIS, the power constraint is applied globally to the whole surface, while some elements may amplify the incident signal locally. The considered RIS architectures provide substantial performance gains compared with systems operating without RIS. GP BD-RIS outperforms, at the price of increasing the complexity, LP and GP D-RIS as it enlarges the feasible set of allowed solutions. However, the gain provided by BD-RIS decreases with the number of RIS elements. Additionally, deploying RISs provides higher gains as the reliability/latency requirement becomes more stringent.




Abstract:This work proposes a provably convergent and low complexity optimization algorithm for the maximization of the secrecy energy efficiency in the uplink of a wireless network aided by a Reconfigurable Intelligent Surface (RIS), in the presence of an eavesdropper. The mobil users' transmit powers and the RIS reflection coefficients are optimized. Numerical results show the performance of the proposed methods and compare the use of active and nearly-passive RISs from an energy-efficient perspective.




Abstract:This work addresses the comparison between active and passive RISs in wireless networks, with reference to the system energy efficiency (EE). To provably convergent and computationally-friendly EE maximization algorithms are developed, which optimize the reflection coefficients of the RIS, the transmit powers, and the linear receive filters. Numerical results show the performance of the proposed methods and discuss the operating points in which active or passive RISs should be preferred from an energy-efficient perspective.




Abstract:This work addresses the issue of energy efficiency maximization in a multi-user network aided by reconfigurable intelligent surface (RIS) with global reflection capabilities. Two optimization methods are proposed to optimize the mobile users' powers, the RIS coefficients and the linear receive filters. Both methods are provably convergent and require only the solution of convex optimization problems. The numerical results show that the proposed methods largely outperform heuristic resource allocation schemes.




Abstract:Reconfigurable intelligent surface (RIS) is an emerging technology that is under investigation for different applications in wireless communications. RISs are often analyzed and optimized by considering simplified electromagnetic reradiation models. In this chapter, we aim to study the impact of realistic reradiation models for RISs as a function of the sub-wavelength inter-distance between nearby elements of the RIS, the quantization levels of the reflection coefficients, the interplay between the amplitude and phase of the reflection coefficients, and the presence of electromagnetic interference. We consider both case studies in which the users may be located in the far-field and near-field regions of an RIS. Our study shows that, due to design constraints, such as the need of using quantized reflection coefficients or the inherent interplay between the phase and the amplitude of the reflection coefficients, an RIS may reradiate power towards unwanted directions that depend on the intended and interfering electromagnetic waves. Therefore, it is in general important to optimize an RIS by considering the entire reradiation pattern by design to maximize the reradiated power towards the desired directions of reradiation while keeping the power reradiated towards other unwanted directions at a low level. Our study shows that a 2-bit digitally controllable RIS with an almost constant reflection amplitude as a function of the applied phase shift, and whose scattering elements have a size and an inter-distance between (1/8)th and (1/4)th of the signal wavelength may be a good tradeoff between performance, implementation complexity and cost. However, the presented results are preliminary and pave the way for further research into the performance of RISs based on accurate and realistic electromagnetic reradiation models.




Abstract:In this paper, we concentrate on the employment of a user-centric (UC) cell-free massive MIMO (CFmMIMO) network for providing ultra reliable low latency communication (URLLC) when traditional ground users (GUs) coexists with unmanned aerial vehicles (UAVs). We study power control in both the downlink and the uplink of such a scenario when partial zero-forcing (PZF) transmit/receive beamforming and maximum ratio transmission/combining are utilized. We consider optimization problems where the objective is either to maximize the total users' sum URLLC rate or to maximize the minimum user's URLLC rate. The considered URLLC rate function is both complicated and nonconvex rendering the considered optimization problems nonconvex. Thus, we present two approximations for the URLLC rate function and resort to successive convex optimization (SCO) to tackle the considered optimization problems. Particularly, we present SCO with iterative concave lower bound approximation (SCO-ICBA) and SCO with iterative interference approximation (SCO-IIA). We provide extensive simulations to evaluate SCO-ICBA and SCO-IIA and compare UC CFmMIMO deployment with traditional colocated massive MIMO (COmMIMO) systems.




Abstract:In this paper, a novel optimization model for joint beamforming and power control in the downlink (DL) of a cell-free massive MIMO (CFmMIMO) system is presented. The objective of the proposed optimization model is to minimize the maximum user interference while satisfying quality of service (QoS) constraints and power consumption limits. The proposed min-max optimization model is formulated as a mixed-integer nonlinear program, that is directly tractable. Numerical results show that the proposed joint beamforming and power control scheme is effective and outperforms competing schemes in terms of data rate, power consumption, and energy efficiency.




Abstract:The potential of intelligent reflecting surfaces (IRSs) is investigated as a promising technique for enhancing the energy efficiency of wireless networks. Specifically, the IRS enables passive beamsteering by employing many low-cost individually controllable reflect elements. The resulting change of the channel state, however, increases both, signal quality and interference at the users. To counteract this negative side effect, we employ rate splitting (RS), which inherently is able to mitigate the impact of interference. We facilitate practical implementation by considering a Cloud Radio Access Network (C-RAN) at the cost of finite fronthaul-link capacities, which necessitate the allocation of sensible user-centric clusters to ensure energy-efficient transmissions. Dynamic methods for RS and the user clustering are proposed to account for the interdependencies of the individual techniques. Numerical results show that the dynamic RS method establishes synergistic benefits between RS and the IRS. Additionally, the dynamic user clustering and the IRS cooperate synergistically, with a gain of up to 88% when compared to the static scheme. Interestingly, with an increasing fronthaul capacity, the gain of the dynamic user clustering decreases, while the gain of the dynamic RS method increases. Around the resulting intersection, both methods affect the system concurrently, improving the energy efficiency drastically.