



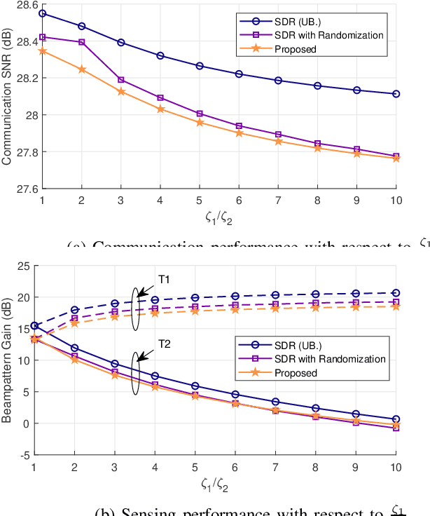
Abstract:Reconfigurable Intelligent Surfaces (RIS) have been recognized as a promising technology to enhance both communication and sensing performance in integrated sensing and communication (ISAC) systems for future 6G networks. However, existing RIS optimization methods for improving ISAC performance are mainly based on semidefinite relaxation (SDR) or iterative algorithms. The former suffers from high computational complexity and limited scalability, especially when the number of RIS elements becomes large, while the latter yields suboptimal solutions whose performance depends on initialization. In this work, we introduce a lightweight RIS phase design framework that provides a closed-form solution and explicitly accounts for the trade-off between communication and sensing, as well as proportional beam gain distribution toward multiple sensing targets. The key idea is to partition the RIS configuration into two parts: the first part is designed to maximize the communication performance, while the second introduces small perturbations to generate multiple beams for multi-target sensing. Simulation results validate the effectiveness of the proposed approach and demonstrate that it achieves performance comparable to SDR but with significantly lower computational complexity.


Abstract:As 6G and beyond redefine connectivity, wireless networks become the foundation of critical operations, making resilience more essential than ever. With this shift, wireless systems cannot only take on vital services previously handled by wired infrastructures but also enable novel innovative applications that would not be possible with wired systems. As a result, there is a pressing demand for strategies that can adapt to dynamic channel conditions, interference, and unforeseen disruptions, ensuring seamless and reliable performance in an increasingly complex environment. Despite considerable research, existing resilience assessments lack comprehensive key performance indicators (KPIs), especially those quantifying its adaptability, which are vital for identifying a system's capacity to rapidly adapt and reallocate resources. In this work, we bridge this gap by proposing a novel framework that explicitly quantifies the adaption performance by augmenting the gradient of the system's rate function. To further enhance the network resilience, we integrate Reconfigurable Intelligent Surfaces (RISs) into our framework due to their capability to dynamically reshape the propagation environment while providing alternative channel paths. Numerical results show that gradient augmentation enhances resilience by improving adaptability under adverse conditions while proactively preparing for future disruptions.




Abstract:Future wireless systems are expected to deliver significantly higher quality-of-service (QoS) albeit with fewer energy resources for diverse, already existing and also novel wireless applications. The optimal resource allocation for a system in this regard could be investigated by reducing the overall power available at the expense of reduced QoS for the inefficient users. In other words, we maximize the system energy efficiency by achieving power saving through a minimal back-off in terms of QoS. In this paper, we investigate the energy efficiency vs. delivered QoS trade-off for the rate-splitting multiple access (RSMA) assisted downlink system. We first determine the user grouping with a normalised channel similarity metric so as to allow a large number of users with non-zero achievable private message rates. Through the private message removal (PMR) of these users, we aim to investigate the QoS vs. energy efficiency trade-off. Numerical results indicate a peak of ~$10\%$ increase in the network energy efficiency for the proposed normalised channel similarity metric based user grouping with scheduled PMR.
Abstract:The reliance on wireless network architectures for applications demanding high reliability and fault tolerance is growing. These architectures heavily depend on wireless channels, making them susceptible to impairments and blockages. Ensuring functionality, particularly for safety-critical applications, demands robust countermeasures at the physical layer. In response, this work proposes the utilization of a dynamic Rate Splitting (RS) grouping approach as a resilience mechanism during blockages. RS effectively manages interference within networks but faces challenges during outages and blockages, where system performance can deteriorate due to the lowest decoding rate dictating the common rate and increased interference from fewer available channel links. As a strategic countermeasure, RS is leveraged to mitigate the impact of blockages, maintaining system efficiency and performance amidst disruptions. In fact, the introduction of new RS groups enables the exploration of novel solutions to the resource allocation problem, potentially outperforming those adopted before the occurrence of a blockage. As it turns out, by employing the dynamic RS grouping, the network exhibits an antifragile recovery response, showcasing the network's ability to not only recover from disruptions but also surpass its initial performance.




Abstract:The integration of Reconfigurable Intelligent Surfaces (RIS) in 6G wireless networks offers unprecedented control over communication environments. However, identifying optimal configurations within practical constraints remains a significant challenge. This becomes especially pronounced, when the user is mobile and the configurations need to be deployed in real time. Leveraging Ultra-Wideband (UWB) as localization technique, we capture and analyze real-time movements of a user within the RIS-enabled indoor environment. Given this information about the system's geometry, a model-based optimization is utilized, which enables real-time beam steering of the RIS towards the user. However, practical limitations of UWB modules lead to fluctuating UWB estimates, causing the RIS beam to occasionally miss the tracked user. The methodologies proposed in this work aim to increase the compatibility between these two systems. To this end, we provide two key solutions: beam splitting for obtaining more robust RIS configurations and UWB estimation correction for reducing the variations in the UWB data. Through comprehensive theoretical and experimental evaluations in both stationary and mobile scenarios, the effectiveness of the proposed techniques is demonstrated. When combined, the proposed methods improve worst-case tracking performance by a significant 17.5dB compared to the conventional approach.
Abstract:The deployment of reconfigurable intelligent surfaces (RISs) in a communication system provides control over the propagation environment, which facilitates the augmentation of a multitude of communication objectives. As these performance gains are highly dependent on the applied phase shifts at the RIS, accurate channel state information at the transceivers is imperative. However, not only do RISs traditionally lack signal processing capabilities, but their end-to-end channels also consist of multiple components. Hence, conventional channel estimation (CE) algorithms become incompatible with RIS-aided communication systems as they fail to provide the necessary information about the channel components, which are essential for a beneficial RIS configuration. To enable the full potential of RISs, we propose to use tensor-decomposition-based CE, which facilitates smart configuration of the RIS by providing the required channel components. We use canonical polyadic (CP) decomposition, that exploits a structured time domain pilot sequence. Compared to other state-of-the-art decomposition methods, the proposed Semi-Algebraic CP decomposition via Simultaneous Matrix Diagonalization (SECSI) algorithm is more time efficient as it does not require an iterative process. The benefits of SECSI for RIS-aided networks are validated with numerical results, which show the improved individual and end-to-end CE accuracy of SECSI.


Abstract:In reconfigurable intelligent surface (RIS)-assisted systems, the optimization of the phase shifts requires separate acquisition of the channel state information (CSI) for the direct and RIS-assisted channels, posing significant design challenges. In this paper, a novel scheme is proposed, which considers practical limitations like pilot overhead and channel estimation (CE) errors to increase the net performance. More specifically, at the cost of unpredictable interference, a portion of the CSI for the RIS-assisted channels is sacrificed in order to reduce the CE time. By alternating the CSI between coherence blocks and employing rate splitting, it becomes possible to mitigate the interference, thereby compensating the adverse effect of the sacrificed CSI. Numerical simulations validate that the proposed scheme exhibits better performance in terms of achievable net rate, resulting in gains of up to 160% compared non-orthogonal multiple access (NOMA), when CE time and CE errors are considered.




Abstract:The potential of intelligent reflecting surfaces (IRSs) is investigated as a promising technique for enhancing the energy efficiency of wireless networks. Specifically, the IRS enables passive beamsteering by employing many low-cost individually controllable reflect elements. The resulting change of the channel state, however, increases both, signal quality and interference at the users. To counteract this negative side effect, we employ rate splitting (RS), which inherently is able to mitigate the impact of interference. We facilitate practical implementation by considering a Cloud Radio Access Network (C-RAN) at the cost of finite fronthaul-link capacities, which necessitate the allocation of sensible user-centric clusters to ensure energy-efficient transmissions. Dynamic methods for RS and the user clustering are proposed to account for the interdependencies of the individual techniques. Numerical results show that the dynamic RS method establishes synergistic benefits between RS and the IRS. Additionally, the dynamic user clustering and the IRS cooperate synergistically, with a gain of up to 88% when compared to the static scheme. Interestingly, with an increasing fronthaul capacity, the gain of the dynamic user clustering decreases, while the gain of the dynamic RS method increases. Around the resulting intersection, both methods affect the system concurrently, improving the energy efficiency drastically.