


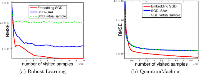
Many machine learning tasks, such as learning with invariance and policy evaluation in reinforcement learning, can be characterized as problems of learning from conditional distributions. In such problems, each sample $x$ itself is associated with a conditional distribution $p(z|x)$ represented by samples $\{z_i\}_{i=1}^M$, and the goal is to learn a function $f$ that links these conditional distributions to target values $y$. These learning problems become very challenging when we only have limited samples or in the extreme case only one sample from each conditional distribution. Commonly used approaches either assume that $z$ is independent of $x$, or require an overwhelmingly large samples from each conditional distribution. To address these challenges, we propose a novel approach which employs a new min-max reformulation of the learning from conditional distribution problem. With such new reformulation, we only need to deal with the joint distribution $p(z,x)$. We also design an efficient learning algorithm, Embedding-SGD, and establish theoretical sample complexity for such problems. Finally, our numerical experiments on both synthetic and real-world datasets show that the proposed approach can significantly improve over the existing algorithms.