



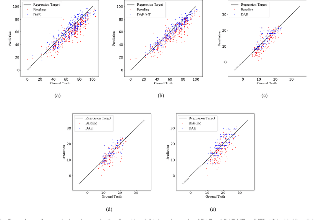
Action quality assessment (AQA) from videos is a challenging vision task since the relation between videos and action scores is difficult to model. Thus, action quality assessment has been widely studied in the literature. Traditionally, AQA task is treated as a regression problem to learn the underlying mappings between videos and action scores. More recently, the method of uncertainty score distribution learning (USDL) made success due to the introduction of label distribution learning (LDL). But USDL does not apply to dataset with continuous labels and needs a fixed variance in training. In this paper, to address the above problems, we further develop Distribution Auto-Encoder (DAE). DAE takes both advantages of regression algorithms and label distribution learning (LDL).Specifically, it encodes videos into distributions and uses the reparameterization trick in variational auto-encoders (VAE) to sample scores, which establishes a more accurate mapping between videos and scores. Meanwhile, a combined loss is constructed to accelerate the training of DAE. DAE-MT is further proposed to deal with AQA on multi-task datasets. We evaluate our DAE approach on MTL-AQA and JIGSAWS datasets. Experimental results on public datasets demonstrate that our method achieves state-of-the-arts under the Spearman's Rank Correlation: 0.9449 on MTL-AQA and 0.73 on JIGSAWS.