



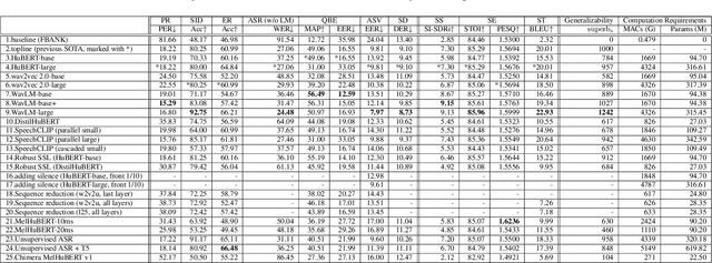
We present the SUPERB challenge at SLT 2022, which aims at learning self-supervised speech representation for better performance, generalization, and efficiency. The challenge builds upon the SUPERB benchmark and implements metrics to measure the computation requirements of self-supervised learning (SSL) representation and to evaluate its generalizability and performance across the diverse SUPERB tasks. The SUPERB benchmark provides comprehensive coverage of popular speech processing tasks, from speech and speaker recognition to audio generation and semantic understanding. As SSL has gained interest in the speech community and showed promising outcomes, we envision the challenge to uplevel the impact of SSL techniques by motivating more practical designs of techniques beyond task performance. We summarize the results of 14 submitted models in this paper. We also discuss the main findings from those submissions and the future directions of SSL research.