



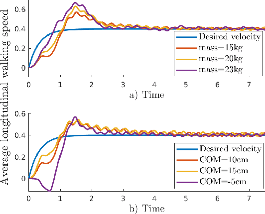
This paper presents a neural-network based adaptive feedback control structure to regulate the velocity of 3D bipedal robots under dynamics uncertainties. Existing Hybrid Zero Dynamics (HZD)-based controllers regulate velocity through the implementation of heuristic regulators that do not consider model and environmental uncertainties, which may significantly affect the tracking performance of the controllers. In this paper, we address the uncertainties in the robot dynamics from the perspective of the reduced dimensional representation of virtual constraints and propose the integration of an adaptive neural network-based controller to regulate the robot velocity in the presence of model parameter uncertainties. The proposed approach yields improved tracking performance under dynamics uncertainties. The shallow adaptive neural network used in this paper does not require training a priori and has the potential to be implemented on the real-time robotic controller. A comparative simulation study of a 3D Cassie robot is presented to illustrate the performance of the proposed approach under various scenarios.