



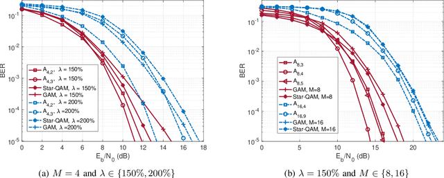
This paper presents a systematic investigation on codebook design of sparse code multiple access (SCMA) communication in downlink satellite Internet-of-Things (S-IoT) systems that are generally characterized by Rician fading channels. To serve a huge number of low-end IoT sensors, we aim to develop enhanced SCMA codebooks which enable ultra-low decoding complexity, while achieving good error performance. By analysing the pair-wise probability in Rician fading channels, we deduce the design metrics for multi-dimensional constellation construction and sparse codebook optimization. To reduce the decoding complexity, we advocate the key idea of projecting the multi-dimensional constellation elements to a few overlapped complex numbers in each dimension, called low projection (LP). We consider golden angle modulation (GAM), thus the resultant multi-dimensional constellation is called LPGAM. With the proposed design metrics and based on LPGAM, we propose an efficient approach of multi-stage optimization of sparse codebooks. Numerical and simulation results show the superiority of the proposed LP codebooks (LPCBs) in terms of decoding complexity and error rate performance. In particular, some of the proposed LPCBs can reduce the decoding complexity by 97\% compared to the conventional codebooks, and own the largest minimum Euclidean distance among existing codebooks. The proposed LPCBs are available at \url{https://github.com/ethanlq/SCMA-codebook}.