



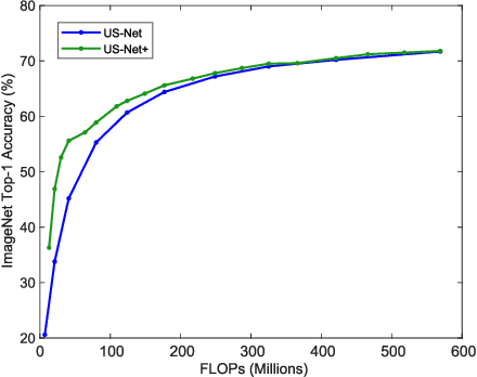
There is growing interest in designing lightweight neural networks for mobile and embedded vision applications. Previous works typically reduce computations from the structure level. For example, group convolution based methods reduce computations by factorizing a vanilla convolution into depth-wise and point-wise convolutions. Pruning based methods prune redundant connections in the network structure. In this paper, we explore the importance of network input for achieving optimal accuracy-efficiency trade-off. Reducing input scale is a simple yet effective way to reduce computational cost. It does not require careful network module design, specific hardware optimization and network retraining after pruning. Moreover, different input scales contain different representations to learn. We propose a framework to mutually learn from different input resolutions and network widths. With the shared knowledge, our framework is able to find better width-resolution balance and capture multi-scale representations. It achieves consistently better ImageNet top-1 accuracy over US-Net under different computation constraints, and outperforms the best compound scale model of EfficientNet by 1.5%. The superiority of our framework is also validated on COCO object detection and instance segmentation as well as transfer learning.