Abstract:Body condition score (BCS) is a widely used indicator of body energy status and is closely associated with metabolic status, reproductive performance, and health in dairy cattle; however, conventional visual scoring is subjective and labor-intensive. Computer vision approaches have been applied to BCS prediction, with depth images widely used because they capture geometric information independent of coat color and texture. More recently, three-dimensional point cloud data have attracted increasing interest due to their ability to represent richer geometric characteristics of animal morphology, but direct head-to-head comparisons with depth image-based approaches remain limited. In this study, we compared top-view depth image and point cloud data for BCS prediction under four settings: 1) unsegmented raw data, 2) segmented full-body data, 3) segmented hindquarter data, and 4) handcrafted feature data. Prediction models were evaluated using data from 1,020 dairy cows collected on a commercial farm, with cow-level cross-validation to prevent data leakage. Depth image-based models consistently achieved higher accuracy than point cloud-based models when unsegmented raw data and segmented full-body data were used, whereas comparable performance was observed when segmented hindquarter data were used. Both depth image and point cloud approaches showed reduced accuracy when handcrafted feature data were employed compared with the other settings. Overall, point cloud-based predictions were more sensitive to noise and model architecture than depth image-based predictions. Taken together, these results indicate that three-dimensional point clouds do not provide a consistent advantage over depth images for BCS prediction in dairy cattle under the evaluated conditions.


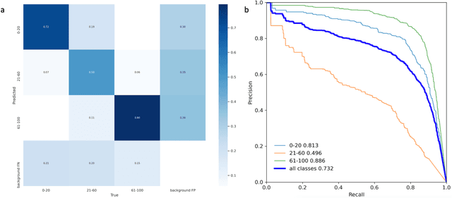
Abstract:Object Detection (OD) is a computer vision technology that can locate and classify objects in images and videos, which has the potential to significantly improve efficiency in precision agriculture. To simplify OD application process, we developed Ladder - a software that provides users with a friendly graphic user interface (GUI) that allows for efficient labelling of training datasets, training OD models, and deploying the trained model. Ladder was designed with an interactive recurrent framework that leverages predictions from a pre-trained OD model as the initial image labeling. After adding human labels, the newly labeled images can be added into the training data to retrain the OD model. With the same GUI, users can also deploy well-trained OD models by loading the model weight file to detect new images. We used Ladder to develop a deep learning model to access wheat stripe rust in RGB (red, green, blue) images taken by an Unmanned Aerial Vehicle (UAV). Ladder employs OD to directly evaluate different severity levels of wheat stripe rust in field images, eliminating the need for photo stitching process for UAVs-based images. The accuracy for low, medium and high severity scores were 72%, 50% and 80%, respectively. This case demonstrates how Ladder empowers OD in precision agriculture and crop breeding.