



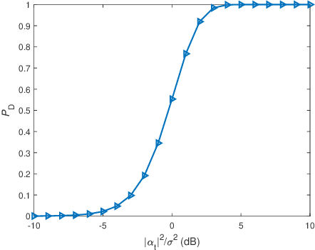
Abstract:This paper investigates the fundamental limits on the target detection performance with a dual-function multiple-input-multiple-output (MIMO) radar communication (RadCom) systems. By assuming the presence of a point-like target and a communication receiver, closed-form expressions for the maximum detection probability and the transmit waveforms achieving the optimal performance are derived. Results show that for the considered case, the dual-function system should transmit coherent waveforms to achieve the optimal detection performance. Moreover, the angle separation between the target and communication receiver has a great impact on the achievable detection performance.




Abstract:In this paper, we present a new large-scale dataset for hairstyle recommendation, CelebHair, based on the celebrity facial attributes dataset, CelebA. Our dataset inherited the majority of facial images along with some beauty-related facial attributes from CelebA. Additionally, we employed facial landmark detection techniques to extract extra features such as nose length and pupillary distance, and deep convolutional neural networks for face shape and hairstyle classification. Empirical comparison has demonstrated the superiority of our dataset to other existing hairstyle-related datasets regarding variety, veracity, and volume. Analysis and experiments have been conducted on the dataset in order to evaluate its robustness and usability.