



Abstract:The Transformer architecture has shown significant success in many language processing and visual tasks. However, the method faces challenges in efficiently scaling to long sequences because the self-attention computation is quadratic with respect to the input length. To overcome this limitation, several approaches scale to longer sequences by breaking long sequences into a series of segments, restricting self-attention to local dependencies between tokens within each segment and using a memory mechanism to manage information flow between segments. However, these approached generally introduce additional compute overhead that restricts them from being used for applications where limited compute memory and power are of great concern (such as edge computing). We propose a novel and efficient Compact Recurrent Transformer (CRT), which combines shallow Transformer models that process short local segments with recurrent neural networks to compress and manage a single persistent memory vector that summarizes long-range global information between segments. We evaluate CRT on WordPTB and WikiText-103 for next-token-prediction tasks, as well as on the Toyota Smarthome video dataset for classification. CRT achieves comparable or superior prediction results to full-length Transformers in the language datasets while using significantly shorter segments (half or quarter size) and substantially reduced FLOPs. Our approach also demonstrates state-of-the-art performance on the Toyota Smarthome video dataset.




Abstract:Despite the advancement of machine learning techniques in recent years, state-of-the-art systems lack robustness to "real world" events, where the input distributions and tasks encountered by the deployed systems will not be limited to the original training context, and systems will instead need to adapt to novel distributions and tasks while deployed. This critical gap may be addressed through the development of "Lifelong Learning" systems that are capable of 1) Continuous Learning, 2) Transfer and Adaptation, and 3) Scalability. Unfortunately, efforts to improve these capabilities are typically treated as distinct areas of research that are assessed independently, without regard to the impact of each separate capability on other aspects of the system. We instead propose a holistic approach, using a suite of metrics and an evaluation framework to assess Lifelong Learning in a principled way that is agnostic to specific domains or system techniques. Through five case studies, we show that this suite of metrics can inform the development of varied and complex Lifelong Learning systems. We highlight how the proposed suite of metrics quantifies performance trade-offs present during Lifelong Learning system development - both the widely discussed Stability-Plasticity dilemma and the newly proposed relationship between Sample Efficient and Robust Learning. Further, we make recommendations for the formulation and use of metrics to guide the continuing development of Lifelong Learning systems and assess their progress in the future.


Abstract:As Artificial and Robotic Systems are increasingly deployed and relied upon for real-world applications, it is important that they exhibit the ability to continually learn and adapt in dynamically-changing environments, becoming Lifelong Learning Machines. Continual/lifelong learning (LL) involves minimizing catastrophic forgetting of old tasks while maximizing a model's capability to learn new tasks. This paper addresses the challenging lifelong reinforcement learning (L2RL) setting. Pushing the state-of-the-art forward in L2RL and making L2RL useful for practical applications requires more than developing individual L2RL algorithms; it requires making progress at the systems-level, especially research into the non-trivial problem of how to integrate multiple L2RL algorithms into a common framework. In this paper, we introduce the Lifelong Reinforcement Learning Components Framework (L2RLCF), which standardizes L2RL systems and assimilates different continual learning components (each addressing different aspects of the lifelong learning problem) into a unified system. As an instantiation of L2RLCF, we develop a standard API allowing easy integration of novel lifelong learning components. We describe a case study that demonstrates how multiple independently-developed LL components can be integrated into a single realized system. We also introduce an evaluation environment in order to measure the effect of combining various system components. Our evaluation environment employs different LL scenarios (sequences of tasks) consisting of Starcraft-2 minigames and allows for the fair, comprehensive, and quantitative comparison of different combinations of components within a challenging common evaluation environment.




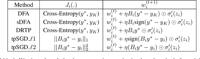
Abstract:To enable learning on edge devices with fast convergence and low memory, we present a novel backpropagation-free optimization algorithm dubbed Target Projection Stochastic Gradient Descent (tpSGD). tpSGD generalizes direct random target projection to work with arbitrary loss functions and extends target projection for training recurrent neural networks (RNNs) in addition to feedforward networks. tpSGD uses layer-wise stochastic gradient descent (SGD) and local targets generated via random projections of the labels to train the network layer-by-layer with only forward passes. tpSGD doesn't require retaining gradients during optimization, greatly reducing memory allocation compared to SGD backpropagation (BP) methods that require multiple instances of the entire neural network weights, input/output, and intermediate results. Our method performs comparably to BP gradient-descent within 5% accuracy on relatively shallow networks of fully connected layers, convolutional layers, and recurrent layers. tpSGD also outperforms other state-of-the-art gradient-free algorithms in shallow models consisting of multi-layer perceptrons, convolutional neural networks (CNNs), and RNNs with competitive accuracy and less memory and time. We evaluate the performance of tpSGD in training deep neural networks (e.g. VGG) and extend the approach to multi-layer RNNs. These experiments highlight new research directions related to optimized layer-based adaptor training for domain-shift using tpSGD at the edge.




Abstract:One approach to meet the challenges of deep lifelong reinforcement learning (LRL) is careful management of the agent's learning experiences, to learn (without forgetting) and build internal meta-models (of the tasks, environments, agents, and world). Generative replay (GR) is a biologically inspired replay mechanism that augments learning experiences with self-labelled examples drawn from an internal generative model that is updated over time. We present a version of GR for LRL that satisfies two desiderata: (a) Introspective density modelling of the latent representations of policies learned using deep RL, and (b) Model-free end-to-end learning. In this paper, we study three deep learning architectures for model-free GR, starting from a na\"ive GR and adding ingredients to achieve (a) and (b). We evaluate our proposed algorithms on three different scenarios comprising tasks from the Starcraft-2 and Minigrid domains. We report several key findings showing the impact of the design choices on quantitative metrics that include transfer learning, generalization to unseen tasks, fast adaptation after task change, performance wrt task expert, and catastrophic forgetting. We observe that our GR prevents drift in the features-to-action mapping from the latent vector space of a deep RL agent. We also show improvements in established lifelong learning metrics. We find that a small random replay buffer significantly increases the stability of training. Overall, we find that "hidden replay" (a well-known architecture for class-incremental classification) is the most promising approach that pushes the state-of-the-art in GR for LRL and observe that the architecture of the sleep model might be more important for improving performance than the types of replay used. Our experiments required only 6% of training samples to achieve 80-90% of expert performance in most Starcraft-2 scenarios.




Abstract:In this paper we present Hyper-Dimensional Reconfigurable Analytics at the Tactical Edge (HyDRATE) using low-SWaP embedded hardware that can perform real-time reconfiguration at the edge leveraging non-MAC (free of floating-point MultiplyACcumulate operations) deep neural nets (DNN) combined with hyperdimensional (HD) computing accelerators. We describe the algorithm, trained quantized model generation, and simulated performance of a feature extractor free of multiply-accumulates feeding a hyperdimensional logic-based classifier. Then we show how performance increases with the number of hyperdimensions. We describe the realized low-SWaP FPGA hardware and embedded software system compared to traditional DNNs and detail the implemented hardware accelerators. We discuss the measured system latency and power, noise robustness due to use of learnable quantization and HD computing, actual versus simulated system performance for a video activity classification task and demonstration of reconfiguration on this same dataset. We show that reconfigurability in the field is achieved by retraining only the feed-forward HD classifier without gradient descent backpropagation (gradient-free), using few-shot learning of new classes at the edge. Initial work performed used LRCN DNN and is currently extended to use Two-stream DNN with improved performance.




Abstract:We examine how the saccade mechanism from biological vision can be used to make deep neural networks more efficient for classification and object detection problems. Our proposed approach is based on the ideas of attention-driven visual processing and saccades, miniature eye movements influenced by attention. We conduct experiments by analyzing: i) the robustness of different deep neural network (DNN) feature extractors to partially-sensed images for image classification and object detection, and ii) the utility of saccades in masking image patches for image classification and object tracking. Experiments with convolutional nets (ResNet-18) and transformer-based models (ViT, DETR, TransTrack) are conducted on several datasets (CIFAR-10, DAVSOD, MSCOCO, and MOT17). Our experiments show intelligent data reduction via learning to mimic human saccades when used in conjunction with state-of-the-art DNNs for classification, detection, and tracking tasks. We observed minimal drop in performance for the classification and detection tasks while only using about 30\% of the original sensor data. We discuss how the saccade mechanism can inform hardware design via ``in-pixel'' processing.