Abstract:Lucente et al. proved that no time-irreversibility measure can detect departure from equilibrium in a scalar Gaussian time series from a linear system. We show that a second observed channel sharing the same hidden driver overcomes this impossibility: the cross-spectral block, structurally inaccessible to any single-channel measure, provides qualitatively new detectability. Under the diagonal null hypothesis, the cross-spectral detectability coefficient $\Scross$ (the leading quartic-order cross contribution) is \emph{exactly} independent of the observed timescales -- a cancellation governed solely by hidden-mode parameters -- and remains strictly positive at exact timescale coalescence, where all single-channel measures vanish. The mechanism is geometric: the cross spectrum occupies the off-diagonal subspace of the spectral matrix, orthogonal to any diagonal null and therefore invisible in any single-channel reduction. For the one-way coupled Ornstein--Uhlenbeck counterpart, the entropy production rate (EPR) satisfies $\EPRtot=α_2λ^2$ exactly; under this coupling geometry, $\Scross>0$ certifies $\EPRtot>0$, linking observable cross-spectral structure to full-system dissipation via $\EPRtot^{\,2}\propto\Scross$. Finite-sample simulations predict a quantitative detection-threshold split testable with dual colloidal probes and multisite climate stations.
Abstract:Protein structural ensembles from NMR spectroscopy capture biologically important conformational heterogeneity, but it remains difficult to determine whether observed variation reflects coordinated motion or noise-like artifacts. We evaluate the Spectral Coherence Index (SCI), a model-free, rotation-invariant summary derived from the participation-ratio effective rank of the inter-model pairwise distance-variance matrix. Under grouped primary analysis of a Main110 cohort of 110 NMR ensembles (30--403 residues; 10--30 models per entry), SCI separated experimental ensembles from matched synthetic incoherent controls with AUC-ROC $= 0.973$ and Cliff's $δ= -0.945$. Relative to an internal 27-protein pilot, discrimination softened modestly, showing that pilot-era thresholds do not transfer perfectly to a larger, more heterogeneous cohort: the primary operating point $τ= 0.811$ yielded 95.5\% sensitivity and 89.1\% specificity. PDB-level sensitivity remained nearly unchanged (AUC $= 0.972$), and an independent 11-protein holdout reached AUC $= 0.983$. Across 5-fold grouped stratified cross-validation and leave-one-function-class-out testing, SCI remained strong (AUC $= 0.968$ and $0.971$), although $σ_{R_g}$ was the stronger single-feature discriminator and a QC-augmented multifeature model generalized best (AUC $= 0.989$ and $0.990$). Residue-level validation linked SCI-derived contributions to experimental RMSF across 110 proteins and showed broad concordance with GNM-based flexibility patterns. Rescue analyses showed that Main110 softening arose mainly from size and ensemble normalization rather than from loss of spectral signal. Together, these results establish SCI as an interpretable, bounded coherence summary that is most useful when embedded in a multimetric QC workflow for heterogeneous protein ensembles.
Abstract:Grokking -- the delayed onset of generalization after early memorization -- is often described with phase-transition language, but that claim has lacked falsifiable finite-size inputs. Here we supply those inputs by treating the group order $p$ of $\mathbb{Z}_p$ as an admissible extensive variable and a held-out spectral head-tail contrast as a representation-level order parameter, then apply a condensed-matter-style diagnostic chain to coarse-grid sweeps and a dense near-critical addition audit. Binder-like crossings reveal a shared finite-size boundary, and susceptibility comparison strongly disfavors a smooth-crossover interpretation ($Δ\mathrm{AIC}=16.8$ in the near-critical audit). Phase-transition language in grokking can therefore be tested as a quantitative finite-size claim rather than invoked as analogy alone, although the transition order remains unresolved at present.
Abstract:We address the attribution problem for apparent slow collective dynamics: is the observed persistence intrinsic, or inherited from a persistent driver? For the leading eigenvalue fraction $ψ_1=λ_{\max}/N$ of S\&P 500 60-day rolling correlation matrices ($237$ stocks, 2004--2023), a VIX-coupled Ornstein--Uhlenbeck model reduces the effective relaxation time from $298$ to $61$ trading days and improves the fit over bare mean reversion by $Δ$BIC$=109$. On the decomposition sample, an informational residual of $\log(\mathrm{VIX})$ alone retains most of that gain ($Δ$BIC$=78.6$), whereas a mechanical VIX proxy alone does not improve the fit. Autocorrelation-matched placebo fields fail ($Δ$BIC$_{\max}=2.7$), disjoint weekly reconstructions still favor the field-coupled model ($Δ$BIC$=140$--$151$), and six anchored chronological holdouts preserve the out-of-sample advantage. Quiet-regime and field-stripped residual autocorrelation controls show the same collapse of persistence. Stronger hidden-variable extensions remain only partially supported. Within the tested stochastic class, conditioning on the observed VIX proxy absorbs most of the apparent slow dynamics.
Abstract:Reservoir expansion can improve online independent component analysis (ICA) under nonlinear mixing, yet top-$n$ whitening may discard injected features. We formalize this bottleneck as \emph{reservoir subspace injection} (RSI): injected features help only if they enter the retained eigenspace without displacing passthrough directions. RSI diagnostics (IER, SSO, $ρ_x$) identify a failure mode in our top-$n$ setting: stronger injection increases IER but crowds out passthrough energy ($ρ_x: 1.00\!\rightarrow\!0.77$), degrading SI-SDR by up to $2.2$\,dB. A guarded RSI controller preserves passthrough retention and recovers mean performance to within $0.1$\,dB of baseline $1/N$ scaling. With passthrough preserved, RE-OICA improves over vanilla online ICA by $+1.7$\,dB under nonlinear mixing and achieves positive SI-SDR$_{\mathrm{sc}}$ on the tested super-Gaussian benchmark ($+0.6$\,dB).
Abstract:Kurtosis-based Independent Component Analysis (ICA) weakens in wide, balanced mixtures. We prove a sharp redundancy law: for a standardized projection with effective width $R_{\mathrm{eff}}$ (participation ratio), the population excess kurtosis obeys $|κ(y)|=O(κ_{\max}/R_{\mathrm{eff}})$, yielding the order-tight $O(c_bκ_{\max}/R)$ under balance (typically $c_b=O(\log R)$). As an impossibility screen, under standard finite-moment conditions for sample kurtosis estimation, surpassing the $O(1/\sqrt{T})$ estimation scale requires $R\lesssim κ_{\max}\sqrt{T}$. We also show that \emph{purification} -- selecting $m\!\ll\!R$ sign-consistent sources -- restores $R$-independent contrast $Ω(1/m)$, with a simple data-driven heuristic. Synthetic experiments validate the predicted decay, the $\sqrt{T}$ crossover, and contrast recovery.


Abstract:The cross-modal synthesis between structural magnetic resonance imaging (sMRI) and functional network connectivity (FNC) is a relatively unexplored area in medical imaging, especially with respect to schizophrenia. This study employs conditional Vision Transformer Generative Adversarial Networks (cViT-GANs) to generate FNC data based on sMRI inputs. After training on a comprehensive dataset that included both individuals with schizophrenia and healthy control subjects, our cViT-GAN model effectively synthesized the FNC matrix for each subject, and then formed a group difference FNC matrix, obtaining a Pearson correlation of 0.73 with the actual FNC matrix. In addition, our FNC visualization results demonstrate significant correlations in particular subcortical brain regions, highlighting the model's capability of capturing detailed structural-functional associations. This performance distinguishes our model from conditional CNN-based GAN alternatives such as Pix2Pix. Our research is one of the first attempts to link sMRI and FNC synthesis, setting it apart from other cross-modal studies that concentrate on T1- and T2-weighted MR images or the fusion of MRI and CT scans.
Abstract:Deep learning has become a prominent computational modeling tool in the areas of computer vision and image processing in recent years. This research comprehensively analyzes the different deep-learning methods used for image-to-image translation and reconstruction in the natural and medical imaging domains. We examine the famous deep learning frameworks, such as convolutional neural networks and generative adversarial networks, and their variants, delving into the fundamental principles and difficulties of each. In the field of natural computer vision, we investigate the development and extension of various deep-learning generative models. In comparison, we investigate the possible applications of deep learning to generative medical imaging problems, including medical image translation, MRI reconstruction, and multi-contrast MRI synthesis. This thorough review provides scholars and practitioners in the areas of generative computer vision and medical imaging with useful insights for summarizing past works and getting insight into future research paths.



Abstract:Vision Transformer (ViT) is a pioneering deep learning framework that can address real-world computer vision issues, such as image classification and object recognition. Importantly, ViTs are proven to outperform traditional deep learning models, such as convolutional neural networks (CNNs). Relatively recently, a number of ViT mutations have been transplanted into the field of medical imaging, thereby resolving a variety of critical classification and segmentation challenges, especially in terms of brain imaging data. In this work, we provide a novel multimodal deep learning pipeline, MultiCrossViT, which is capable of analyzing both structural MRI (sMRI) and static functional network connectivity (sFNC) data for the prediction of schizophrenia disease. On a dataset with minimal training subjects, our novel model can achieve an AUC of 0.832. Finally, we visualize multiple brain regions and covariance patterns most relevant to schizophrenia based on the resulting ViT attention maps by extracting features from transformer encoders.




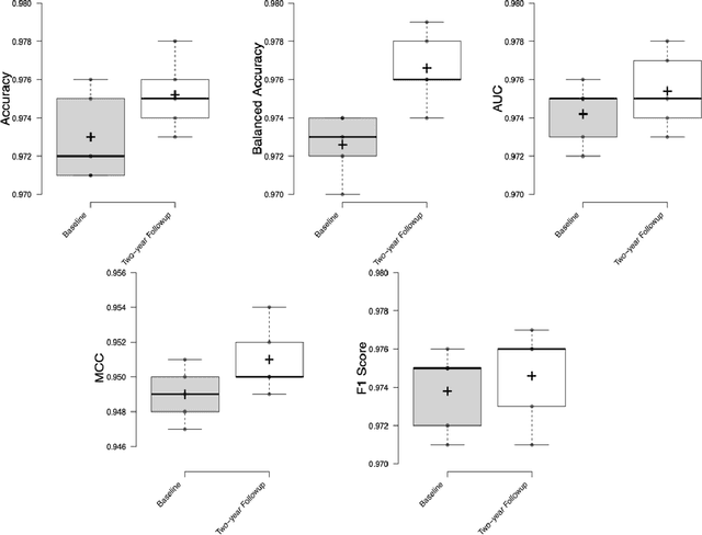
Abstract:Deep learning algorithms for predicting neuroimaging data have shown considerable promise in various applications. Prior work has demonstrated that deep learning models that take advantage of the data's 3D structure can outperform standard machine learning on several learning tasks. However, most prior research in this area has focused on neuroimaging data from adults. Within the Adolescent Brain and Cognitive Development (ABCD) dataset, a large longitudinal development study, we examine structural MRI data to predict gender and identify gender-related changes in brain structure. Results demonstrate that gender prediction accuracy is exceptionally high (>97%) with training epochs >200 and that this accuracy increases with age. Brain regions identified as the most discriminative in the task under study include predominantly frontal areas and the temporal lobe. When evaluating gender predictive changes specific to a two-year increase in age, a broader set of visual, cingulate, and insular regions are revealed. Our findings show a robust gender-related structural brain change pattern, even over a small age range. This suggests that it might be possible to study how the brain changes during adolescence by looking at how these changes are related to different behavioral and environmental factors.