



Abstract:Impedance control and specifically stiffness control are widely applied for physical human-robot interaction. The series elastic actuator (SEA) provides inherent compliance, safety and further benefits. This paper aims to improve the stiffness control performance of a cable-driven SEA. Existing impedance controllers were designed within the full frequency domain, though human-robot interaction commonly falls in the low frequency range. We enhance the stiffness rendering performance under formulated constraints of passivity, actuator limitation, disturbance attenuation, noise rejection at their specific frequency ranges. Firstly, we reformulate this multiple frequency-band optimization problem into the $H_\infty$ synthesis framework. Then, the performance goals are quantitatively characterized by respective restricted frequency-domain specifications as norm bounds. Further, a structured controller is directly synthesized to satisfy all the competing performance requirements. Both simulation and experimental results showed that the produced controller enabled good interaction performance for each desired stiffness varying from 0 to 1 times of the physical spring constant. Compared with the passivity-based PID method, the proposed $H_\infty$ synthesis method achieved more accurate and robust stiffness control performance with guaranteed passivity.




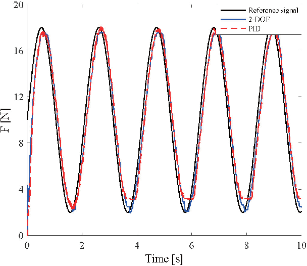
Abstract:Body weight support (BWS) is a fundamental technique in rehabilitation. Along with the dramatic progressing of rehabilitation science and engineering, BWS is quickly evolving with new initiatives and has attracted deep research effort in recent years. We have built up a novel gravity offloading system, in which the patient is allowed to move freely in the three-dimensional Cartesian space and receives support against gravity. Thus, the patients, especially for those that suffer from neurological injury such as stroke or spinal cord injury, can focus their residual motor control capabilities on essential therapeutic trainings of balance and gait. The real-time force control performance is critical for the BWS unit to provide suitable support and avoid disturbance. In this work, we have re-designed our BWS unit with a series elastic actuation structure to improve the human-robot interaction performance. Further, the 2 degrees of freedom (2-DOF) control approach was taken for accurate and robust BWS force control. Both simulation and experimental results have validated the efficacy of the BWS design and real-time control methods.