Abstract:As large language models (LLMs) are increasingly deployed in high-stakes settings, the risk of generating harmful or toxic content remains a central challenge. Post-hoc alignment methods are brittle: once unsafe patterns are learned during pretraining, they are hard to remove. We present a data-centric pretraining framework that builds safety into the model from the start. Our contributions include: (i) a safety classifier trained on 10,000 GPT-4 labeled examples, used to filter 600B tokens; (ii) the largest synthetic safety dataset to date (100B tokens) generated via recontextualization of harmful web data; (iii) RefuseWeb and Moral Education datasets that convert harmful prompts into refusal dialogues and web-style educational material; (iv) Harmfulness-Tag annotations injected during pretraining to flag unsafe content and steer away inference from harmful generations; and (v) safety evaluations measuring base model behavior before instruction tuning. Our safety-pretrained models reduce attack success rates from 38.8% to 8.4% with no performance degradation on standard LLM safety benchmarks.
Abstract:Reinforcement learning (RL) has emerged as a powerful paradigm for enhancing reasoning capabilities in large language models, but faces a fundamental asymmetry in computation and memory requirements: inference is embarrassingly parallel with a minimal memory footprint, while policy updates require extensive synchronization and are memory-intensive. To address this asymmetry, we introduce PODS (Policy Optimization with Down-Sampling), a framework that strategically decouples these phases by generating numerous rollouts in parallel but updating only on an informative subset. Within this framework, we develop max-variance down-sampling, a theoretically motivated method that selects rollouts with maximally diverse reward signals. We prove that this approach has an efficient algorithmic solution, and empirically demonstrate that GRPO with PODS using max-variance down-sampling achieves superior performance over standard GRPO on the GSM8K benchmark.
Abstract:Frontier models that generate extended reasoning traces inadvertently produce rich token sequences that can facilitate model distillation. Recognizing this vulnerability, model owners may seek sampling strategies that limit the effectiveness of distillation without compromising model performance. \emph{Antidistillation sampling} provides exactly this capability. By strategically modifying a model's next-token probability distribution, antidistillation sampling poisons reasoning traces, rendering them significantly less effective for distillation while preserving the model's practical utility. For further details, see https://antidistillation.com.
Abstract:We introduce a novel, training-free method for sampling differentiable representations (diffreps) using pretrained diffusion models. Rather than merely mode-seeking, our method achieves sampling by "pulling back" the dynamics of the reverse-time process--from the image space to the diffrep parameter space--and updating the parameters according to this pulled-back process. We identify an implicit constraint on the samples induced by the diffrep and demonstrate that addressing this constraint significantly improves the consistency and detail of the generated objects. Our method yields diffreps with substantially improved quality and diversity for images, panoramas, and 3D NeRFs compared to existing techniques. Our approach is a general-purpose method for sampling diffreps, expanding the scope of problems that diffusion models can tackle.




Abstract:Many recent state-of-the-art (SOTA) optical flow models use finite-step recurrent update operations to emulate traditional algorithms by encouraging iterative refinements toward a stable flow estimation. However, these RNNs impose large computation and memory overheads, and are not directly trained to model such stable estimation. They can converge poorly and thereby suffer from performance degradation. To combat these drawbacks, we propose deep equilibrium (DEQ) flow estimators, an approach that directly solves for the flow as the infinite-level fixed point of an implicit layer (using any black-box solver), and differentiates through this fixed point analytically (thus requiring $O(1)$ training memory). This implicit-depth approach is not predicated on any specific model, and thus can be applied to a wide range of SOTA flow estimation model designs. The use of these DEQ flow estimators allows us to compute the flow faster using, e.g., fixed-point reuse and inexact gradients, consumes $4\sim6\times$ times less training memory than the recurrent counterpart, and achieves better results with the same computation budget. In addition, we propose a novel, sparse fixed-point correction scheme to stabilize our DEQ flow estimators, which addresses a longstanding challenge for DEQ models in general. We test our approach in various realistic settings and show that it improves SOTA methods on Sintel and KITTI datasets with substantially better computational and memory efficiency.


Abstract:While early research in neural architecture search (NAS) required extreme computational resources, the recent releases of tabular and surrogate benchmarks have greatly increased the speed and reproducibility of NAS research. However, two of the most popular benchmarks do not provide the full training information for each architecture. As a result, on these benchmarks it is not possible to run many types of multi-fidelity techniques, such as learning curve extrapolation, that require evaluating architectures at arbitrary epochs. In this work, we present a method using singular value decomposition and noise modeling to create surrogate benchmarks, NAS-Bench-111, NAS-Bench-311, and NAS-Bench-NLP11, that output the full training information for each architecture, rather than just the final validation accuracy. We demonstrate the power of using the full training information by introducing a learning curve extrapolation framework to modify single-fidelity algorithms, showing that it leads to improvements over popular single-fidelity algorithms which claimed to be state-of-the-art upon release. Our code and pretrained models are available at https://github.com/automl/nas-bench-x11.




Abstract:Neural architecture search (NAS) has been extensively studied in the past few years. A popular approach is to represent each neural architecture in the search space as a directed acyclic graph (DAG), and then search over all DAGs by encoding the adjacency matrix and list of operations as a set of hyperparameters. Recent work has demonstrated that even small changes to the way each architecture is encoded can have a significant effect on the performance of NAS algorithms. In this work, we present the first formal study on the effect of architecture encodings for NAS, including a theoretical grounding and an empirical study. First we formally define architecture encodings and give a theoretical characterization on the scalability of the encodings we study Then we identify the main encoding-dependent subroutines which NAS algorithms employ, running experiments to show which encodings work best with each subroutine for many popular algorithms. The experiments act as an ablation study for prior work, disentangling the algorithmic and encoding-based contributions, as well as a guideline for future work. Our results demonstrate that NAS encodings are an important design decision which can have a significant impact on overall performance. Our code is available at https://github.com/naszilla/nas-encodings.




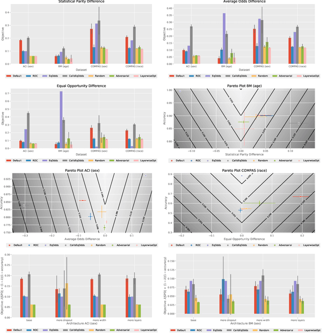
Abstract:As deep learning models become tasked with more and more decisions that impact human lives, such as hiring, criminal recidivism, and loan repayment, bias is becoming a growing concern. This has led to dozens of definitions of fairness and numerous algorithmic techniques to improve the fairness of neural networks. Most debiasing algorithms require retraining a neural network from scratch, however, this is not feasible in many applications, especially when the model takes days to train or when the full training dataset is no longer available. In this work, we present a study on post-hoc methods for debiasing neural networks. First we study the nature of the problem, showing that the difficulty of post-hoc debiasing is highly dependent on the initial conditions of the original model. Then we define three new fine-tuning techniques: random perturbation, layer-wise optimization, and adversarial fine-tuning. All three techniques work for any group fairness constraint. We give a comparison with six algorithms - three popular post-processing debiasing algorithms and our three proposed methods - across three datasets and three popular bias measures. We show that no post-hoc debiasing technique dominates all others, and we identify settings in which each algorithm performs the best. Our code is available at https://github.com/realityengines/post_hoc_debiasing.




Abstract:Local search is one of the simplest families of algorithms in combinatorial optimization, yet it yields strong approximation guarantees for canonical NP-Complete problems such as the traveling salesman problem and vertex cover. While it is a ubiquitous algorithm in theoretical computer science, local search has been widely neglected in hyperparameter optimization, and has never been used to perform neural architecture search (NAS). We show that the simplest local search instantiations achieve state-of-the-art results on the most popular existing NAS benchmarks (NASBench-101 and NASBench-201). For example, on CIFAR-100 with the NASBench-201 search space, local search reaches the global optimum after training just 127 architectures on average, outperforming many popular NAS algorithms. However, local search fails to perform well on the much larger DARTS search space. We present a thorough theoretical and empirical study, explaining the success of local search on smaller, structured search spaces.




Abstract:Neural Architecture Search (NAS) has seen an explosion of research in the past few years. A variety of methods have been proposed to perform NAS, including reinforcement learning, Bayesian optimization with a Gaussian process model, evolutionary search, and gradient descent. In this work, we design a NAS algorithm that performs Bayesian optimization using a neural network model. We develop a path-based encoding scheme to featurize the neural architectures that are used to train the neural network model. This strategy is particularly effective for encoding architectures in cell-based search spaces. After training on just 200 random neural architectures, we are able to predict the validation accuracy of a new architecture to within one percent of its true accuracy on average, for popular search spaces. This may be of independent interest beyond Bayesian neural architecture search. We test our algorithm on the NASBench (Ying et al. 2019) and DARTS (Liu et al. 2018) search spaces, and we show that our algorithm outperforms other NAS methods including evolutionary search, reinforcement learning, AlphaX, ASHA, and DARTS. Our algorithm is over 100x more efficient than random search, and 3.8x more efficient than the next-best algorithm on the NASBench dataset. As there have been problems with fair and reproducible experimental evauations in the field of NAS, we adhere to the recent NAS research checklist (Lindauer and Hutter 2019) to facilitate NAS research. In particular, our implementation has been made publicly available, including all details needed to fully reproduce our results.