


Abstract:We present results from several projects aimed at enabling the real-time understanding of crowds and their behaviour in the built environment. We make use of CCTV video cameras that are ubiquitous throughout the developed and developing world and as such are able to play the role of a reliable sensing mechanism. We outline the novel methods developed for our crowd insights engine, and illustrate examples of its use in different contexts in the urban landscape. Applications of the technology range from maintaining security in public spaces to quantifying the adequacy of public transport level of service.




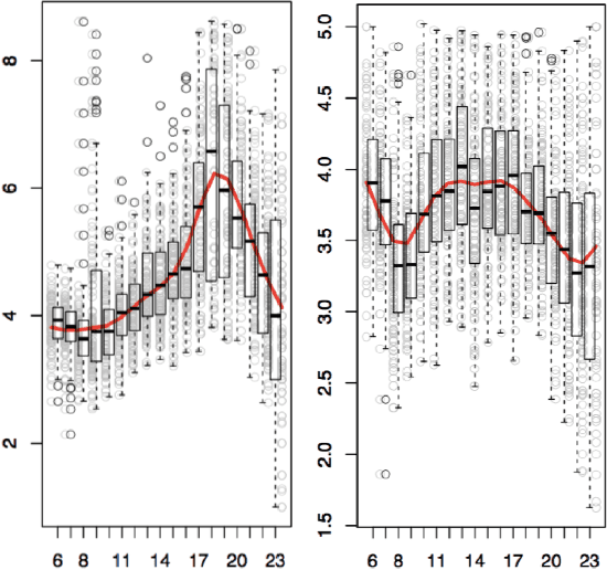
Abstract:The preponderance of connected devices provides unprecedented opportunities for fine-grained monitoring of the public infrastructure. However while classical models expect high quality application-specific data streams, the promise of the Internet of Things (IoT) is that of an abundance of disparate and noisy datasets from connected devices. In this context, we consider the problem of estimation of the level of service of a city-wide public transport network. We first propose a robust unsupervised model for train movement inference from wifi traces, via the application of robust clustering methods to a one dimensional spatio-temporal setting. We then explore the extent to which the demand-supply gap can be estimated from connected devices. We propose a classification model of real-time commuter patterns, including both a batch training phase and an online learning component. We describe our deployment architecture and assess our system accuracy on a large-scale anonymized dataset comprising more than 10 billion records.




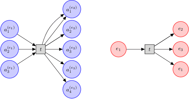
Abstract:The Bitcoin transaction graph is a public data structure organized as transactions between addresses, each associated with a logical entity. In this work, we introduce a complete probabilistic model of the Bitcoin Blockchain. We first formulate a set of conditional dependencies induced by the Bitcoin protocol at the block level and derive a corresponding fully observed graphical model of a Bitcoin block. We then extend the model to include hidden entity attributes such as the functional category of the associated logical agent and derive asymptotic bounds on the privacy properties implied by this model. At the network level, we show evidence of complex transaction-to-transaction behavior and present a relevant discriminative model of the agent categories. Performance of both the block-based graphical model and the network-level discriminative model is evaluated on a subset of the public Bitcoin Blockchain.




Abstract:Bitcoin has created a new exchange paradigm within which financial transactions can be trusted without an intermediary. This premise of a free decentralized transactional network however requires, in its current implementation, unrestricted access to the ledger for peer-based transaction verification. A number of studies have shown that, in this pseudonymous context, identities can be leaked based on transaction features or off-network information. In this work, we analyze the information revealed by the pattern of transactions in the neighborhood of a given entity transaction. By definition, these features which pertain to an extended network are not directly controllable by the entity, but might enable leakage of information about transacting entities. We define a number of new features relevant to entity characterization on the Bitcoin Blockchain and study their efficacy in practice. We show that even a weak attacker with shallow data mining knowledge is able to leverage these features to characterize the entity properties.