Abstract:Interpretable classification of time series presents significant challenges in high dimensions. Traditional feature selection methods in the frequency domain often assume sparsity in spectral density matrices (SDMs) or their inverses, which can be restrictive for real-world applications. In this article, we propose a model-based approach for classifying high-dimensional stationary time series by assuming sparsity in the difference between inverse SDMs. Our approach emphasizes the interpretability of model parameters, making it especially suitable for fields like neuroscience, where understanding differences in brain network connectivity across various states is crucial. The estimators for model parameters demonstrate consistency under appropriate conditions. We further propose using standard deep learning optimizers for parameter estimation, employing techniques such as mini-batching and learning rate scheduling. Additionally, we introduce a method to screen the most discriminatory frequencies for classification, which exhibits the sure screening property under general conditions. The flexibility of the proposed model allows the significance of covariates to vary across frequencies, enabling nuanced inferences and deeper insights into the underlying problem. The novelty of our method lies in the interpretability of the model parameters, addressing critical needs in neuroscience. The proposed approaches have been evaluated on simulated examples and the `Alert-vs-Drowsy' EEG dataset.
Abstract:Classification of high-dimensional low sample size (HDLSS) data poses a challenge in a variety of real-world situations, such as gene expression studies, cancer research, and medical imaging. This article presents the development and analysis of some classifiers that are specifically designed for HDLSS data. These classifiers are free of tuning parameters and are robust, in the sense that they are devoid of any moment conditions of the underlying data distributions. It is shown that they yield perfect classification in the HDLSS asymptotic regime, under some fairly general conditions. The comparative performance of the proposed classifiers is also investigated. Our theoretical results are supported by extensive simulation studies and real data analysis, which demonstrate promising advantages of the proposed classification techniques over several widely recognized methods.




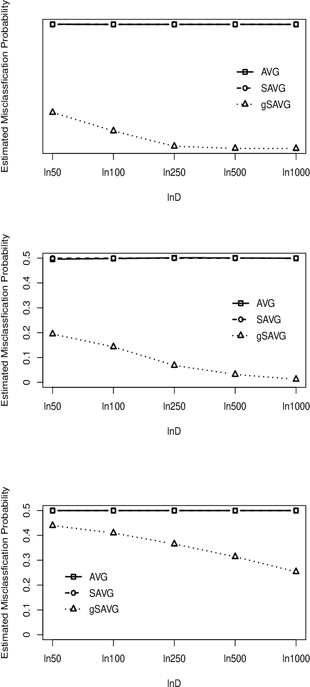
Abstract:In high dimension, low sample size (HDLSS)settings, the simple average distance classifier based on the Euclidean distance performs poorly if differences between the locations get masked by the scale differences. To rectify this issue, modifications to the average distance classifier was proposed by Chan and Hall (2009). However, the existing classifiers cannot discriminate when the populations differ in other aspects than locations and scales. In this article, we propose some simple transformations of the average distance classifier to tackle this issue. The resulting classifiers perform quite well even when the underlying populations have the same location and scale. The high-dimensional behaviour of the proposed classifiers is studied theoretically. Numerical experiments with a variety of simulated as well as real data sets exhibit the usefulness of the proposed methodology.