



Abstract:Gradient inversion attack (or input recovery from gradient) is an emerging threat to the security and privacy preservation of Federated learning, whereby malicious eavesdroppers or participants in the protocol can recover (partially) the clients' private data. This paper evaluates existing attacks and defenses. We find that some attacks make strong assumptions about the setup. Relaxing such assumptions can substantially weaken these attacks. We then evaluate the benefits of three proposed defense mechanisms against gradient inversion attacks. We show the trade-offs of privacy leakage and data utility of these defense methods, and find that combining them in an appropriate manner makes the attack less effective, even under the original strong assumptions. We also estimate the computation cost of end-to-end recovery of a single image under each evaluated defense. Our findings suggest that the state-of-the-art attacks can currently be defended against with minor data utility loss, as summarized in a list of potential strategies. Our code is available at: https://github.com/Princeton-SysML/GradAttack.




Abstract:Research on generalization bounds for deep networks seeks to give ways to predict test error using just the training dataset and the network parameters. While generalization bounds can give many insights about architecture design, training algorithms etc., what they do not currently do is yield good predictions for actual test error. A recently introduced Predicting Generalization in Deep Learning competition aims to encourage discovery of methods to better predict test error. The current paper investigates a simple idea: can test error be predicted using 'synthetic data' produced using a Generative Adversarial Network (GAN) that was trained on the same training dataset? Upon investigating several GAN models and architectures, we find that this turns out to be the case. In fact, using GANs pre-trained on standard datasets, the test error can be predicted without requiring any additional hyper-parameter tuning. This result is surprising because GANs have well-known limitations (e.g. mode collapse) and are known to not learn the data distribution accurately. Yet the generated samples are good enough to substitute for test data. Several additional experiments are presented to explore reasons why GANs do well at this task. In addition to a new approach for predicting generalization, the counter-intuitive phenomena presented in our work may also call for a better understanding of GANs' strengths and limitations.




Abstract:The generalization mystery of overparametrized deep nets has motivated efforts to understand how gradient descent (GD) converges to low-loss solutions that generalize well. Real-life neural networks are initialized from small random values and trained with cross-entropy loss for classification (unlike the "lazy" or "NTK" regime of training where analysis was more successful), and a recent sequence of results (Lyu and Li, 2020; Chizat and Bach, 2020; Ji and Telgarsky, 2020) provide theoretical evidence that GD may converge to the "max-margin" solution with zero loss, which presumably generalizes well. However, the global optimality of margin is proved only in some settings where neural nets are infinitely or exponentially wide. The current paper is able to establish this global optimality for two-layer Leaky ReLU nets trained with gradient flow on linearly separable and symmetric data, regardless of the width. The analysis also gives some theoretical justification for recent empirical findings (Kalimeris et al., 2019) on the so-called simplicity bias of GD towards linear or other "simple" classes of solutions, especially early in training. On the pessimistic side, the paper suggests that such results are fragile. A simple data manipulation can make gradient flow converge to a linear classifier with suboptimal margin.

Abstract:Understanding the implicit bias of Stochastic Gradient Descent (SGD) is one of the key challenges in deep learning, especially for overparametrized models, where the local minimizers of the loss function $L$ can form a manifold. Intuitively, with a sufficiently small learning rate $\eta$, SGD tracks Gradient Descent (GD) until it gets close to such manifold, where the gradient noise prevents further convergence. In such a regime, Blanc et al. (2020) proved that SGD with label noise locally decreases a regularizer-like term, the sharpness of loss, $\mathrm{tr}[\nabla^2 L]$. The current paper gives a general framework for such analysis by adapting ideas from Katzenberger (1991). It allows in principle a complete characterization for the regularization effect of SGD around such manifold -- i.e., the "implicit bias" -- using a stochastic differential equation (SDE) describing the limiting dynamics of the parameters, which is determined jointly by the loss function and the noise covariance. This yields some new results: (1) a global analysis of the implicit bias valid for $\eta^{-2}$ steps, in contrast to the local analysis of Blanc et al. (2020) that is only valid for $\eta^{-1.6}$ steps and (2) allowing arbitrary noise covariance. As an application, we show with arbitrary large initialization, label noise SGD can always escape the kernel regime and only requires $O(\kappa\ln d)$ samples for learning an $\kappa$-sparse overparametrized linear model in $\mathbb{R}^d$ (Woodworth et al., 2020), while GD initialized in the kernel regime requires $\Omega(d)$ samples. This upper bound is minimax optimal and improves the previous $\tilde{O}(\kappa^2)$ upper bound (HaoChen et al., 2020).




Abstract:Traditional statistics forbids use of test data (a.k.a. holdout data) during training. Dwork et al. 2015 pointed out that current practices in machine learning, whereby researchers build upon each other's models, copying hyperparameters and even computer code -- amounts to implicitly training on the test set. Thus error rate on test data may not reflect the true population error. This observation initiated {\em adaptive data analysis}, which provides evaluation mechanisms with guaranteed upper bounds on this difference. With statistical query (i.e. test accuracy) feedbacks, the best upper bound is fairly pessimistic: the deviation can hit a practically vacuous value if the number of models tested is quadratic in the size of the test set. In this work, we present a simple new estimate, {\em Rip van Winkle's Razor}. It relies upon a new notion of \textquotedblleft information content\textquotedblright\ of a model: the amount of information that would have to be provided to an expert referee who is intimately familiar with the field and relevant science/math, and who has been just been woken up after falling asleep at the moment of the creation of the test data (like \textquotedblleft Rip van Winkle\textquotedblright\ of the famous fairy tale). This notion of information content is used to provide an estimate of the above deviation which is shown to be non-vacuous in many modern settings.




Abstract:It is generally recognized that finite learning rate (LR), in contrast to infinitesimal LR, is important for good generalization in real-life deep nets. Most attempted explanations propose approximating finite-LR SGD with Ito Stochastic Differential Equations (SDEs). But formal justification for this approximation (e.g., (Li et al., 2019a)) only applies to SGD with tiny LR. Experimental verification of the approximation appears computationally infeasible. The current paper clarifies the picture with the following contributions: (a) An efficient simulation algorithm SVAG that provably converges to the conventionally used Ito SDE approximation. (b) Experiments using this simulation to demonstrate that the previously proposed SDE approximation can meaningfully capture the training and generalization properties of common deep nets. (c) A provable and empirically testable necessary condition for the SDE approximation to hold and also its most famous implication, the linear scaling rule (Smith et al., 2020; Goyal et al., 2017). The analysis also gives rigorous insight into why the SDE approximation may fail.


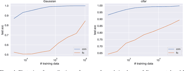
Abstract:Convolutional neural networks often dominate fully-connected counterparts in generalization performance, especially on image classification tasks. This is often explained in terms of 'better inductive bias'. However, this has not been made mathematically rigorous, and the hurdle is that the fully connected net can always simulate the convolutional net (for a fixed task). Thus the training algorithm plays a role. The current work describes a natural task on which a provable sample complexity gap can be shown, for standard training algorithms. We construct a single natural distribution on $\mathbb{R}^d\times\{\pm 1\}$ on which any orthogonal-invariant algorithm (i.e. fully-connected networks trained with most gradient-based methods from gaussian initialization) requires $\Omega(d^2)$ samples to generalize while $O(1)$ samples suffice for convolutional architectures. Furthermore, we demonstrate a single target function, learning which on all possible distributions leads to an $O(1)$ vs $\Omega(d^2/\varepsilon)$ gap. The proof relies on the fact that SGD on fully-connected network is orthogonal equivariant. Similar results are achieved for $\ell_2$ regression and adaptive training algorithms, e.g. Adam and AdaGrad, which are only permutation equivariant.




Abstract:An unsolved challenge in distributed or federated learning is to effectively mitigate privacy risks without slowing down training or reducing accuracy. In this paper, we propose TextHide aiming at addressing this challenge for natural language understanding tasks. It requires all participants to add a simple encryption step to prevent an eavesdropping attacker from recovering private text data. Such an encryption step is efficient and only affects the task performance slightly. In addition, TextHide fits well with the popular framework of fine-tuning pre-trained language models (e.g., BERT) for any sentence or sentence-pair task. We evaluate TextHide on the GLUE benchmark, and our experiments show that TextHide can effectively defend attacks on shared gradients or representations and the averaged accuracy reduction is only $1.9\%$. We also present an analysis of the security of TextHide using a conjecture about the computational intractability of a mathematical problem. Our code is available at https://github.com/Hazelsuko07/TextHide




Abstract:Autoregressive language models pretrained on large corpora have been successful at solving downstream tasks, even with zero-shot usage. However, there is little theoretical justification for their success. This paper considers the following questions: (1) Why should learning the distribution of natural language help with downstream classification tasks? (2) Why do features learned using language modeling help solve downstream tasks with linear classifiers? For (1), we hypothesize, and verify empirically, that classification tasks of interest can be reformulated as next word prediction tasks, thus making language modeling a meaningful pretraining task. For (2), we analyze properties of the cross-entropy objective to show that $\epsilon$-optimal language models in cross-entropy (log-perplexity) learn features that are $\mathcal{O}(\sqrt{\epsilon})$-good on natural linear classification tasks, thus demonstrating mathematically that doing well on language modeling can be beneficial for downstream tasks. We perform experiments to verify assumptions and validate theoretical results. Our theoretical insights motivate a simple alternative to the cross-entropy objective that performs well on some linear classification tasks.




Abstract:Recent works (e.g., (Li and Arora, 2020)) suggest that the use of popular normalization schemes (including Batch Normalization) in today's deep learning can move it far from a traditional optimization viewpoint, e.g., use of exponentially increasing learning rates. The current paper highlights other ways in which behavior of normalized nets departs from traditional viewpoints, and then initiates a formal framework for studying their mathematics via suitable adaptation of the conventional framework namely, modeling SGD-induced training trajectory via a suitable stochastic differential equation (SDE) with a noise term that captures gradient noise. This yields: (a) A new ' intrinsic learning rate' parameter that is the product of the normal learning rate and weight decay factor. Analysis of the SDE shows how the effective speed of learning varies and equilibrates over time under the control of intrinsic LR. (b) A challenge -- via theory and experiments -- to popular belief that good generalization requires large learning rates at the start of training. (c) New experiments, backed by mathematical intuition, suggesting the number of steps to equilibrium (in function space) scales as the inverse of the intrinsic learning rate, as opposed to the exponential time convergence bound implied by SDE analysis. We name it the Fast Equilibrium Conjecture and suggest it holds the key to why Batch Normalization is effective.