



Abstract:This paper investigates the spectral efficiency achieved through uplink joint transmission, where a serving user and the network users (UEs) collaborate by jointly transmitting to the base station (BS). The analysis incorporates the resource requirements for information sharing among UEs as a critical factor in the capacity evaluation. Furthermore, coherent and non-coherent joint transmission schemes are compared under various transmission power scenarios, providing insights into spectral and energy efficiency. A selection algorithm identifying the optimal UEs for joint transmission, achieving maximum capacity, is discussed. The results indicate that uplink joint transmission is one of the promising techniques for enabling 6G, achieving greater spectral efficiency even when accounting for the resource requirements for information sharing.
Abstract:Fingerprinting-based indoor localization methods typically require labor-intensive site surveys to collect signal measurements at known reference locations and frequent recalibration, which limits their scalability. This paper addresses these challenges by presenting a novel approach for indoor localization that utilizes crowdsourced data {\em without location labels}. We leverage the statistical information of crowdsourced data and propose a cumulative distribution function (CDF) based distance estimation method that maps received signal strength (RSS) to distances from access points. This approach overcomes the limitations of conventional distance estimation based on the empirical path loss model by efficiently capturing the impacts of shadow fading and multipath. Compared to fingerprinting, our {\em unsupervised} statistical approach eliminates the need for signal measurements at known reference locations. The estimated distances are then integrated into a three-step framework to determine the target location. The localization performance of our proposed method is evaluated using RSS data generated from ray-tracing simulations. Our results demonstrate significant improvements in localization accuracy compared to methods based on the empirical path loss model. Furthermore, our statistical approach, which relies on unlabeled data, achieves localization accuracy comparable to that of the {\em supervised} approach, the $k$-Nearest Neighbor ($k$NN) algorithm, which requires fingerprints with location labels. For reproducibility and future research, we make the ray-tracing dataset publicly available at [2].




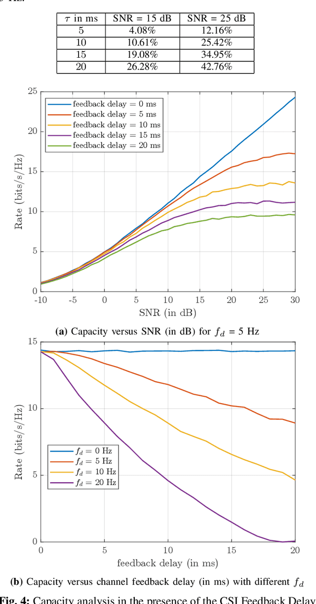
Abstract:The main challenges of distributed MIMO systems lie in achieving highly accurate synchronization and ensuring the availability of accurate channel state information (CSI) at distributed nodes. This paper analytically examines the effects of synchronization offsets and CSI feedback delays on system capacity, providing insights into how these affect the coherent joint transmission gain. The capacity expressions are first derived under ideal conditions, and the effects of synchronization offsets and feedback delays are subsequently incorporated. This analysis can be applied to any distributed MIMO architecture. A comprehensive study, including system models and simulations evaluating the analytical expressions, is presented to quantify the capacity degradation caused by these factors. This study provides valuable insights into the design and performance of distributed MIMO systems. The analysis shows that time and frequency offsets, along with CSI feedback delay, cause inter-layer interference. Additionally, time offsets result in inter-symbol interference.
Abstract:This paper tackles the challenge of accurate positioning in Non-Line-of-Sight (NLoS) environments, with a focus on indoor public safety scenarios where NLoS bias severely impacts localization performance. We explore Diffraction MultiPath Components (MPC) as a critical mechanism for Outdoor-to-Indoor (O2I) signal propagation and its role in positioning. The proposed system comprises outdoor Uncrewed Aerial Vehicle (UAV) transmitters and indoor receivers that require localization. To facilitate diffraction-based positioning, we develop a method to isolate diffraction MPCs at indoor receivers and validate its effectiveness using a ray-tracing-generated dataset, which we have made publicly available. Our evaluation across the FR1, FR2, and FR3 frequency bands within the 5G/6G spectrum confirms the viability of diffraction-based positioning techniques for next-generation wireless networks.
Abstract:Effective indoor positioning is critical for public safety, enabling first responders to locate at-risk individuals accurately during emergency scenarios. However, traditional Global Navigation Satellite Systems (GNSS) often perform poorly indoors due to poor coverage and non-line-of-sight (NLOS) conditions. Moreover, relying on fixed cellular infrastructure, such as terrestrial networks (TNs), may not be feasible, as indoor signal coverage from a sufficient number of base stations or WiFi access points cannot be guaranteed for accurate positioning. In this paper, we propose a rapidly deployable indoor positioning system (IPS) leveraging mobile anchors, including uncrewed aerial vehicles (UAVs) and Low-Earth-Orbit (LEO) satellites, and discuss the role of GNSS and LEOs in localizing the mobile anchors. Additionally, we discuss the role of sidelink-based positioning, which is introduced in 3rd Generation Partnership Project (3GPP) Release 18, in enabling public safety systems. By examining outdoor-to-indoor (O2I) signal propagation, particularly diffraction-based approaches, we highlight how propagation-aware positioning methods can outperform conventional strategies that disregard propagation mechanism information. The study highlights how emerging 5G Advanced and Non-Terrestrial Networks (NTN) features offer new avenues to improve positioning in challenging indoor environments, ultimately paving the way for cost-effective and resilient IPS solutions tailored to public safety applications.
Abstract:Age of Information (AoI) is a key metric used for evaluating data freshness in communication networks, particularly in systems requiring real-time updates. In positioning applications, maintaining low AoI is critical for ensuring timely and accurate position estimation. This paper introduces an age-informed metric, which we term as Age of Positioning (AoP), that captures the temporal evolution of positioning accuracy for agents following random trajectories and sharing sporadic location updates. Using the widely adopted Random Waypoint (RWP) mobility model, which captures stochastic user movement through waypoint-based trajectories, we derive closed-form expressions for this metric under various queuing disciplines and different modes of operation of the agent. The analytical results are verified with numerical simulations, and the existence of optimal operating conditions is demonstrated.
Abstract:In this paper, we propose a two-stage weighted projection method (TS-WPM) for time-difference-of-arrival (TDOA)-based localization, providing provable improvements in positioning accuracy, particularly under high geometric dilution of precision (GDOP) and low signal-to-noise ratio (SNR) conditions. TS-WPM employs a two-stage iterative refinement approach that dynamically updates both range and position estimates, effectively mitigating residual errors while maintaining computational efficiency. Additionally, we extend TS-WPM to support cooperative localization by leveraging two-way time-of-arrival (TW-TOA) measurements, which enhances positioning accuracy in scenarios with limited anchor availability. To analyze TS-WPM, we derive its error covariance matrix and mean squared error (MSE), establishing conditions for its optimality and robustness. To facilitate rigorous evaluation, we develop a 3rd Generation Partnership Project (3GPP)-compliant analytical framework, incorporating 5G New Radio (NR) physical layer aspects as well as large-scale and small-scale fading. As part of this, we derive a generalized Cram{\'e}r-Rao lower bound (CRLB) for multipath propagation and introduce a novel non-line-of-sight (NLOS) bias model that accounts for propagation conditions and SNR variations. Our evaluations demonstrate that TS-WPM achieves near-CRLB performance and consistently outperforms state-of-the-art weighted nonlinear least squares (WNLS) in high GDOP and low SNR scenarios. Moreover, cooperative localization with TS-WPM significantly enhances accuracy, especially when an insufficient number of anchors (such as 2) are visible. Finally, we analyze the computational complexity of TS-WPM, showing its balanced trade-off between accuracy and efficiency, making it a scalable solution for real-time localization in next-generation networks.
Abstract:Interest in the use of the low earth orbit (LEO) in space - from $160 \text{ km}$ to $2000 \text{ km}$ - has skyrocketed; this is evident by the fact that National Aeronautics and Space Administration (NASA) has partnered with various commercial platforms like Axiom Space, Blue Origin, SpaceX, Sierra Space, Starlab Space, ThinkOrbital, and Vast Space to deploy satellites. %and platforms like Northrop Grumman and Boeing to transport cargo and crew. The most apparent advantage of satellites in LEO over satellites in Geostationary (GEO) and medium earth orbit (MEO) is their closeness to the earth; hence, signals from LEOs encounter lower propagation losses and reduced propagation delay, opening up the possibility of using these LEO satellites for localization. This article reviews the existing signal processing algorithms for localization using LEO satellites, introduces the basics of estimation theory, connects estimation theory to model identifiability with Fisher Information Matrix (FIM), and with the FIM, provides conditions that allow for $9$D localization of a terrestrial receiver using signals from multiple LEOs (unsynchronized in time and frequency) across multiple time slots and multiple receive antennas. We also compare the structure of the information available in LEO satellites with the structure of the information available in the Global Positioning System (GPS).
Abstract:There has been substantial work on developing variants of the multiple signal classification (MUSIC) algorithms that take advantage of the information present in the near-field propagation regime. However, it is not always easy to determine the correct propagation regime, which opens the possibility of incorrectly applying simpler algorithms (meant for far-field) in the near-field regime. Inspired by this, we use simulation results to investigate the performance drop when there is a mismatch between the signal model in the MUSIC algorithm and the propagation regime. For direction of arrival (DOA) estimation, we consider the cases when the receiver is in the near-field region but uses i) the near-field model, ii) the approximate near-field model (ANM) model, and iii) the far-field model to design the beamforming matrix in the MUSIC algorithm. We also consider the case when the receiver is in the far-field region, and we use the correct far-field model to design the beamforming matrix in the MUSIC algorithm. One contribution is that in the near-field, we have quantified the loss in performance when the ANM and the far-field model are used to create the beamforming matrix for the MUSIC algorithm, causing a reduction in estimation accuracy compared to the case when the correct near-field model is used to design the beamforming matrix. Another result is that in the near-field, when we incorrectly assume that the receiver is in the far-field and subsequently use the far-field beamforming matrix, we underestimate the DOA estimation error. Finally, we show that the MUSIC algorithm can provide very accurate range estimates for distances less than the Fraunhofer distance. This estimate gradually becomes inaccurate as the distances exceed the Fraunhofer distance.




Abstract:Many modern wireless devices with accurate positioning needs also have access to vision sensors, such as a camera, radar, and Light Detection and Ranging (LiDAR). In scenarios where wireless-based positioning is either inaccurate or unavailable, using information from vision sensors becomes highly desirable for determining the precise location of the wireless device. Specifically, vision data can be used to estimate distances between the target (where the sensors are mounted) and nearby landmarks. However, a significant challenge in positioning using these measurements is the inability to uniquely identify which specific landmark is visible in the data. For instance, when the target is located close to a lamppost, it becomes challenging to precisely identify the specific lamppost (among several in the region) that is near the target. This work proposes a new framework for target localization using range measurements to multiple proximate landmarks. The geometric constraints introduced by these measurements are utilized to narrow down candidate landmark combinations corresponding to the range measurements and, consequently, the target's location on a map. By modeling landmarks as a marked Poisson point process (PPP), we show that three noise-free range measurements are sufficient to uniquely determine the correct combination of landmarks in a two-dimensional plane. For noisy measurements, we provide a mathematical characterization of the probability of correctly identifying the observed landmark combination based on a novel joint distribution of key random variables. Our results demonstrate that the landmark combination can be identified using ranges, even when individual landmarks are visually indistinguishable.