Abstract:Recent advances in generative video models have enabled the creation of high-quality videos based on natural language prompts. However, these models frequently lack fine-grained temporal control, meaning they do not allow users to specify when particular visual elements should appear within a generated sequence. In this work, we introduce TempoControl, a method that allows for temporal alignment of visual concepts during inference, without requiring retraining or additional supervision. TempoControl utilizes cross-attention maps, a key component of text-to-video diffusion models, to guide the timing of concepts through a novel optimization approach. Our method steers attention using three complementary principles: aligning its temporal shape with a control signal (via correlation), amplifying it where visibility is needed (via energy), and maintaining spatial focus (via entropy). TempoControl allows precise control over timing while ensuring high video quality and diversity. We demonstrate its effectiveness across various video generation applications, including temporal reordering for single and multiple objects, as well as action and audio-aligned generation.




Abstract:Low-rank gradient-based optimization methods have significantly improved memory efficiency during the training of large language models (LLMs), enabling operations within constrained hardware without sacrificing performance. However, these methods primarily emphasize memory savings, often overlooking potential acceleration in convergence due to their reliance on standard isotropic steepest descent techniques, which can perform suboptimally in the highly anisotropic landscapes typical of deep networks, particularly LLMs. In this paper, we propose SUMO (Subspace-Aware Moment-Orthogonalization), an optimizer that employs exact singular value decomposition (SVD) for moment orthogonalization within a dynamically adapted low-dimensional subspace, enabling norm-inducing steepest descent optimization steps. By explicitly aligning optimization steps with the spectral characteristics of the loss landscape, SUMO effectively mitigates approximation errors associated with commonly used methods like Newton-Schulz orthogonalization approximation. We theoretically establish an upper bound on these approximation errors, proving their dependence on the condition numbers of moments, conditions we analytically demonstrate are encountered during LLM training. Furthermore, we both theoretically and empirically illustrate that exact orthogonalization via SVD substantially improves convergence rates while reducing overall complexity. Empirical evaluations confirm that SUMO accelerates convergence, enhances stability, improves performance, and reduces memory requirements by up to 20% compared to state-of-the-art methods.
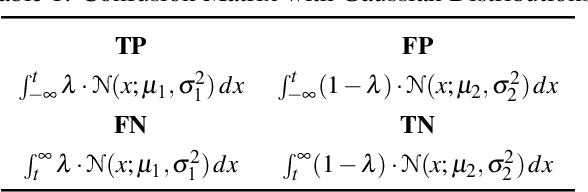
Abstract:Falsely annotated samples, also known as noisy labels, can significantly harm the performance of deep learning models. Two main approaches for learning with noisy labels are global noise estimation and data filtering. Global noise estimation approximates the noise across the entire dataset using a noise transition matrix, but it can unnecessarily adjust correct labels, leaving room for local improvements. Data filtering, on the other hand, discards potentially noisy samples but risks losing valuable data. Our method identifies potentially noisy samples based on their loss distribution. We then apply a selection process to separate noisy and clean samples and learn a noise transition matrix to correct the loss for noisy samples while leaving the clean data unaffected, thereby improving the training process. Our approach ensures robust learning and enhanced model performance by preserving valuable information from noisy samples and refining the correction process. We applied our method to standard image datasets (MNIST, CIFAR-10, and CIFAR-100) and a biological scRNA-seq cell-type annotation dataset. We observed a significant improvement in model accuracy and robustness compared to traditional methods.
Abstract:We study robust parameter-efficient fine-tuning (PEFT) techniques designed to improve accuracy and generalization while operating within strict computational and memory hardware constraints, specifically focusing on large-language models (LLMs). Existing PEFT methods often lack robustness and fail to generalize effectively across diverse tasks, leading to suboptimal performance in real-world scenarios. To address this, we present a new highly computationally efficient framework called AdaZo-SAM, combining Adam and Sharpness-Aware Minimization (SAM) while requiring only a single-gradient computation in every iteration. This is achieved using a stochastic zeroth-order estimation to find SAM's ascent perturbation. We provide a convergence guarantee for AdaZo-SAM and show that it improves the generalization ability of state-of-the-art PEFT methods. Additionally, we design a low-rank gradient optimization method named LORENZA, which is a memory-efficient version of AdaZo-SAM. LORENZA utilizes a randomized SVD scheme to efficiently compute the subspace projection matrix and apply optimization steps onto the selected subspace. This technique enables full-parameter fine-tuning with adaptive low-rank gradient updates, achieving the same reduced memory consumption as gradient-low-rank-projection methods. We provide a convergence analysis of LORENZA and demonstrate its merits for pre-training and fine-tuning LLMs.




Abstract:Temporal alignment of sequences is a fundamental challenge in many applications, such as computer vision and bioinformatics, where local time shifting needs to be accounted for. Misalignment can lead to poor model generalization, especially in high-dimensional sequences. Existing methods often struggle with optimization when dealing with high-dimensional sparse data, falling into poor alignments. Feature selection is frequently used to enhance model performance for sparse data. However, a fixed set of selected features would not generally work for dynamically changing sequences and would need to be modified based on the state of the sequence. Therefore, modifying the selected feature based on contextual input would result in better alignment. Our suggested method, Conditional Deep Canonical Temporal Time Warping (CDCTW), is designed for temporal alignment in sparse temporal data to address these challenges. CDCTW enhances alignment accuracy for high dimensional time-dependent views be performing dynamic time warping on data embedded in maximally correlated subspace which handles sparsity with novel feature selection method. We validate the effectiveness of CDCTW through extensive experiments on various datasets, demonstrating superior performance over previous techniques.




Abstract:Large Language Models (LLMs), with billions of parameters, present significant challenges for full finetuning due to the high computational demands, memory requirements, and impracticality of many real-world applications. When faced with limited computational resources or small datasets, updating all model parameters can often result in overfitting. To address this, lightweight finetuning techniques have been proposed, like learning low-rank adapter layers. These methods aim to train only a few additional parameters combined with the base model, which remains frozen, reducing resource usage and mitigating overfitting risks. In this work, we propose an adaptor model based on stochastic gates that simultaneously sparsify the frozen base model with task-specific adaptation. Our method comes with a small number of trainable parameters and allows us to speed up the base model inference with competitive accuracy. We evaluate it in additional variants by equipping it with additional low-rank parameters and comparing it to several recent baselines. Our results show that the proposed method improves the finetuned model accuracy comparatively to the several baselines and allows the removal of up to 20-40\% without significant accuracy loss.
Abstract:Multi-view representation learning (MvRL) has garnered substantial attention in recent years, driven by the increasing demand for applications that can effectively process and analyze data from multiple sources. In this context, graph Laplacian-based MvRL methods have demonstrated remarkable success in representing multi-view data. However, these methods often struggle with generalization to new data and face challenges with scalability. Moreover, in many practical scenarios, multi-view data is contaminated by noise or outliers. In such cases, modern deep-learning-based MvRL approaches that rely on alignment or contrastive objectives can lead to misleading results, as they may impose incorrect consistency between clear and corrupted data sources. We introduce $\textit{SpecRaGE}$, a novel fusion-based framework that integrates the strengths of graph Laplacian methods with the power of deep learning to overcome these challenges. SpecRage uses neural networks to learn parametric mapping that approximates a joint diagonalization of graph Laplacians. This solution bypasses the need for alignment while enabling generalizable and scalable learning of informative and meaningful representations. Moreover, it incorporates a meta-learning fusion module that dynamically adapts to data quality, ensuring robustness against outliers and noisy views. Our extensive experiments demonstrate that SpecRaGE outperforms state-of-the-art methods, particularly in scenarios with data contamination, paving the way for more reliable and efficient multi-view learning. Our code will be made publicly available upon acceptance.



Abstract:Large Language Models (LLMs) have shown promise in highly-specialized domains, however challenges are still present in aspects of accuracy and costs. These limitations restrict the usage of existing models in domain-specific tasks. While fine-tuning pre-trained models have shown promising results, this process can be computationally expensive and require massive datasets of the specialized application in hand. In this work, we bridge that gap. We have developed Phi-2-Legal and Mistral-Legal-7B, which are language models specifically designed for legal applications. These models are based on Phi-2 and Mistral-7B-v0.1, and have gone through continued pre-training with over 500 million tokens of legal texts. Our innovative approach significantly improves capabilities in legal tasks by using Large Language Models (LLMs) to convert raw training data into reading comprehension text. Our legal LLMs have demonstrated superior performance in legal benchmarks, even outperforming models trained on much larger datasets with more resources. This work emphasizes the effectiveness of continued pre-training on domain-specific texts, while using affordable LLMs for data conversion, which gives these models domain expertise while retaining general language understanding capabilities. While this work uses the legal domain as a test case, our method can be scaled and applied to any pre-training dataset, resulting in significant improvements across different tasks. These findings underscore the potential of domain-adaptive pre-training and reading comprehension for the development of highly effective domain-specific language models.




Abstract:Training and fine-tuning large language models (LLMs) come with challenges related to memory and computational requirements due to the increasing size of the model weights and the optimizer states. Various techniques have been developed to tackle these challenges, such as low-rank adaptation (LoRA), which involves introducing a parallel trainable low-rank matrix to the fixed pre-trained weights at each layer. However, these methods often fall short compared to the full-rank weight training approach, as they restrict the parameter search to a low-rank subspace. This limitation can disrupt training dynamics and require a full-rank warm start to mitigate the impact. In this paper, we introduce a new method inspired by a phenomenon we formally prove: as training progresses, the rank of the estimated layer gradients gradually decreases, and asymptotically approaches rank one. Leveraging this, our approach involves adaptively reducing the rank of the gradients during Adam optimization steps, using an efficient online-updating low-rank projections rule. We further present a randomized SVD scheme for efficiently finding the projection matrix. Our technique enables full-parameter fine-tuning with adaptive low-rank gradient updates, significantly reducing overall memory requirements during training compared to state-of-the-art methods while improving model performance in both pretraining and fine-tuning. Finally, we provide a convergence analysis of our method and demonstrate its merits for training and fine-tuning language and biological foundation models.
Abstract:Choosing a meaningful subset of features from high-dimensional observations in unsupervised settings can greatly enhance the accuracy of downstream analysis, such as clustering or dimensionality reduction, and provide valuable insights into the sources of heterogeneity in a given dataset. In this paper, we propose a self-supervised graph-based approach for unsupervised feature selection. Our method's core involves computing robust pseudo-labels by applying simple processing steps to the graph Laplacian's eigenvectors. The subset of eigenvectors used for computing pseudo-labels is chosen based on a model stability criterion. We then measure the importance of each feature by training a surrogate model to predict the pseudo-labels from the observations. Our approach is shown to be robust to challenging scenarios, such as the presence of outliers and complex substructures. We demonstrate the effectiveness of our method through experiments on real-world datasets, showing its robustness across multiple domains, particularly its effectiveness on biological datasets.