University of Oxford
Abstract:Federated Learning (FL) allows collaborative model training among distributed parties without pooling local datasets at a central server. However, the distributed nature of FL poses challenges in training fair federated learning models. The existing techniques are often limited in offering fairness flexibility to clients and performance. We formally define and empirically analyze a simple and intuitive post-processing-based framework to improve group fairness in FL systems. This framework can be divided into two stages: a standard FL training stage followed by a completely decentralized local debiasing stage. In the first stage, a global model is trained without fairness constraints using a standard federated learning algorithm (e.g. FedAvg). In the second stage, each client applies fairness post-processing on the global model using their respective local dataset. This allows for customized fairness improvements based on clients' desired and context-guided fairness requirements. We demonstrate two well-established post-processing techniques in this framework: model output post-processing and final layer fine-tuning. We evaluate the framework against three common baselines on four different datasets, including tabular, signal, and image data, each with varying levels of data heterogeneity across clients. Our work shows that this framework not only simplifies fairness implementation in FL but also provides significant fairness improvements with minimal accuracy loss or even accuracy gain, across data modalities and machine learning methods, being especially effective in more heterogeneous settings.




Abstract:There is a growing body of work on learning from human feedback to align various aspects of machine learning systems with human values and preferences. We consider the setting of fairness in content moderation, in which human feedback is used to determine how two comments -- referencing different sensitive attribute groups -- should be treated in comparison to one another. With a novel dataset collected from Prolific and MTurk, we find significant gaps in fairness preferences depending on the race, age, political stance, educational level, and LGBTQ+ identity of annotators. We also demonstrate that demographics mentioned in text have a strong influence on how users perceive individual fairness in moderation. Further, we find that differences also exist in downstream classifiers trained to predict human preferences. Finally, we observe that an ensemble, giving equal weight to classifiers trained on annotations from different demographics, performs better for different demographic intersections; compared to a single classifier that gives equal weight to each annotation.
Abstract:We present SocialGenPod, a decentralised and privacy-friendly way of deploying generative AI Web applications. Unlike centralised Web and data architectures that keep user data tied to application and service providers, we show how one can use Solid -- a decentralised Web specification -- to decouple user data from generative AI applications. We demonstrate SocialGenPod using a prototype that allows users to converse with different Large Language Models, optionally leveraging Retrieval Augmented Generation to generate answers grounded in private documents stored in any Solid Pod that the user is allowed to access, directly or indirectly. SocialGenPod makes use of Solid access control mechanisms to give users full control of determining who has access to data stored in their Pods. SocialGenPod keeps all user data (chat history, app configuration, personal documents, etc) securely in the user's personal Pod; separate from specific model or application providers. Besides better privacy controls, this approach also enables portability across different services and applications. Finally, we discuss challenges, posed by the large compute requirements of state-of-the-art models, that future research in this area should address. Our prototype is open-source and available at: https://github.com/Vidminas/socialgenpod/.




Abstract:Machine learning requires defining one's target variable for predictions or decisions, a process that can have profound implications on fairness: biases are often encoded in target variable definition itself, before any data collection or training. We present an interactive simulator, FairTargetSim (FTS), that illustrates how target variable definition impacts fairness. FTS is a valuable tool for algorithm developers, researchers, and non-technical stakeholders. FTS uses a case study of algorithmic hiring, using real-world data and user-defined target variables. FTS is open-source and available at: http://tinyurl.com/ftsinterface. The video accompanying this paper is here: http://tinyurl.com/ijcaifts.
Abstract:The surprisingly likely criterion in the seminal work of Prelec (the Bayesian Truth Serum) guarantees truthfulness in a game-theoretic multi-agent setting, by rewarding rational agents to maximise the expected information gain with their answers w.r.t. their probabilistic beliefs. We investigate the relevance of a similar criterion for responses of LLMs. We hypothesize that if the surprisingly likely criterion works in LLMs, under certain conditions, the responses that maximize the reward under this criterion should be more accurate than the responses that only maximize the posterior probability. Using benchmarks including the TruthfulQA benchmark and using openly available LLMs: GPT-2 and LLaMA-2, we show that the method indeed improves the accuracy significantly (for example, upto 24 percentage points aggregate improvement on TruthfulQA and upto 70 percentage points improvement on individual categories of questions).
Abstract:Synthetic data is emerging as a promising way to harness the value of data, while reducing privacy risks. The potential of synthetic data is not limited to privacy-friendly data release, but also includes complementing real data in use-cases such as training machine learning algorithms that are more fair and robust to distribution shifts etc. There is a lot of interest in algorithmic advances in synthetic data generation for providing better privacy and statistical guarantees and for its better utilisation in machine learning pipelines. However, for responsible and trustworthy synthetic data generation, it is not sufficient to focus only on these algorithmic aspects and instead, a holistic view of the synthetic data generation pipeline must be considered. We build a novel system that allows the contributors of real data to autonomously participate in differentially private synthetic data generation without relying on a trusted centre. Our modular, general and scalable solution is based on three building blocks namely: Solid (Social Linked Data), MPC (Secure Multi-Party Computation) and Trusted Execution Environments (TEEs). Solid is a specification that lets people store their data securely in decentralised data stores called Pods and control access to their data. MPC refers to the set of cryptographic methods for different parties to jointly compute a function over their inputs while keeping those inputs private. TEEs such as Intel SGX rely on hardware based features for confidentiality and integrity of code and data. We show how these three technologies can be effectively used to address various challenges in responsible and trustworthy synthetic data generation by ensuring: 1) contributor autonomy, 2) decentralisation, 3) privacy and 4) scalability. We support our claims with rigorous empirical results on simulated and real datasets and different synthetic data generation algorithms.
Abstract:Machine learning based decision-support tools in criminal justice systems are subjects of intense discussions and academic research. There are important open questions about the utility and fairness of such tools. Academic researchers often rely on a few small datasets that are not sufficient to empirically study various real-world aspects of these questions. In this paper, we contribute WCLD, a curated large dataset of 1.5 million criminal cases from circuit courts in the U.S. state of Wisconsin. We used reliable public data from 1970 to 2020 to curate attributes like prior criminal counts and recidivism outcomes. The dataset contains large number of samples from five racial groups, in addition to information like sex and age (at judgment and first offense). Other attributes in this dataset include neighborhood characteristics obtained from census data, detailed types of offense, charge severity, case decisions, sentence lengths, year of filing etc. We also provide pseudo-identifiers for judge, county and zipcode. The dataset will not only enable researchers to more rigorously study algorithmic fairness in the context of criminal justice, but also relate algorithmic challenges with various systemic issues. We also discuss in detail the process of constructing the dataset and provide a datasheet. The WCLD dataset is available at \url{https://clezdata.github.io/wcld/}.




Abstract:Text classifiers have promising applications in high-stake tasks such as resume screening and content moderation. These classifiers must be fair and avoid discriminatory decisions by being invariant to perturbations of sensitive attributes such as gender or ethnicity. However, there is a gap between human intuition about these perturbations and the formal similarity specifications capturing them. While existing research has started to address this gap, current methods are based on hardcoded word replacements, resulting in specifications with limited expressivity or ones that fail to fully align with human intuition (e.g., in cases of asymmetric counterfactuals). This work proposes novel methods for bridging this gap by discovering expressive and intuitive individual fairness specifications. We show how to leverage unsupervised style transfer and GPT-3's zero-shot capabilities to automatically generate expressive candidate pairs of semantically similar sentences that differ along sensitive attributes. We then validate the generated pairs via an extensive crowdsourcing study, which confirms that a lot of these pairs align with human intuition about fairness in the context of toxicity classification. Finally, we show how limited amounts of human feedback can be leveraged to learn a similarity specification that can be used to train downstream fairness-aware models.




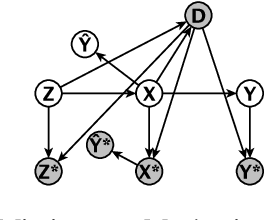
Abstract:Training datasets for machine learning often have some form of missingness. For example, to learn a model for deciding whom to give a loan, the available training data includes individuals who were given a loan in the past, but not those who were not. This missingness, if ignored, nullifies any fairness guarantee of the training procedure when the model is deployed. Using causal graphs, we characterize the missingness mechanisms in different real-world scenarios. We show conditions under which various distributions, used in popular fairness algorithms, can or can not be recovered from the training data. Our theoretical results imply that many of these algorithms can not guarantee fairness in practice. Modeling missingness also helps to identify correct design principles for fair algorithms. For example, in multi-stage settings where decisions are made in multiple screening rounds, we use our framework to derive the minimal distributions required to design a fair algorithm. Our proposed algorithm decentralizes the decision-making process and still achieves similar performance to the optimal algorithm that requires centralization and non-recoverable distributions.


Abstract:Incentive mechanisms play a pivotal role in collecting correct and reliable information from self-interested agents. Peer-prediction mechanisms are game-theoretic mechanisms that incentivize agents for reporting the information truthfully, even when the information is unverifiable in nature. Traditionally, a trusted third party implements these mechanisms. We built Infochain, a decentralized system for information elicitation. Infochain ensures transparent, trustless and cost-efficient collection of information from self-interested agents without compromising the game-theoretical guarantees of the peer-prediction mechanisms. In this paper, we address various non-trivial challenges in implementing these mechanisms in Ethereum and provide experimental analysis.