Abstract:This paper introduces an innovative imaging method using reconfigurable intelligent surfaces (RISs) by combining radar coincidence imaging (RCI) and computational imaging techniques. In the proposed framework, RISs simultaneously redirect beams toward a desired region of interest (ROI). The interference of these beams forms spatially diverse speckle patterns that carry information about the entire ROI. As a result, this method can take advantage of the benefits of both random patterns and spotlight imaging. Since the speckle pattern is formed by directive beams (instead of random patterns typically used in computational imaging), this approach results in a higher signal-to-noise ratio (SNR) and reduced clutter. In contrast to raster scanning, which requires the number of measurements to be at least equal to the number of unknowns, our proposed approach follows a computational imaging framework and can obtain high-quality images even when only a few measurements are taken. Using numerical simulation, we demonstrate this method's capabilities and contrast it against other conventional techniques. The proposed imaging approach can be applied to security screening, wireless user tracking, and activity recognition.




Abstract:Wireless networks-on-chip (WNoCs) are an enticing complementary interconnect technology for multi-core chips but face severe resource constraints. Being limited to simple on-off-keying modulation, the reverberant nature of the chip enclosure imposes limits on allowed modulation speeds in sight of inter-symbol interference, casting doubts on the competitiveness of WNoCs as interconnect technology. Fortunately, this vexing problem was recently overcome by parametrizing the on-chip radio environment with a reconfigurable intelligent surface (RIS). By suitably configuring the RIS, selected channel impulse responses (CIRs) can be tuned to be (almost) pulse-like despite rich scattering thanks to judiciously tailored multi-bounce path interferences. However, the exploration of this "over-the-air" (OTA) equalization is thwarted by (i) the overwhelming complexity of the propagation environment, and (ii) the non-linear dependence of the CIR on the RIS configuration, requiring a costly and lengthy full-wave simulation for every optimization step. Here, we show that a reduced-basis physics-compliant model for RIS-parametrized WNoCs can be calibrated with a single full-wave simulation. Thereby, we unlock the possibility of predicting the CIR for any RIS configuration almost instantaneously without any additional full-wave simulation. We leverage this new tool to systematically explore OTA equalization in RIS-parametrized WNoCs regarding the optimal choice of delay time for the RIS-shaped CIR's peak. We also study the simultaneous optimization of multiple on-chip wireless links for broadcasting. Looking forward, the introduced tools will enable the efficient exploration of various types of OTA analog computing in RIS-parametrized WNoCs.




Abstract:The opening of the millimeter wave (mmWave) spectrum bands for 5G communications has motivated the need for novel spectrum sharing solutions at these high frequencies. In fact, reconfigurable intelligent surfaces (RISs) have recently emerged to enable spectrum sharing while enhancing the incumbents' quality-of-service (QoS). Nonetheless, co-existence over mmWave bands remains persistently challenging due to their unfavorable propagation characteristics. Hence, initiating mmWave spectrum sharing requires the RIS to further assist in improving the QoS over mmWave bands without jeopardizing spectrum sharing demands. In this paper, a novel simultaneous transmitting and reflecting RIS (STAR-RIS)-aided solution to enable mmWave spectrum sharing is proposed. In particular, the transmitting and reflecting abilities of the STAR-RIS are leveraged to tackle the mmWave spectrum sharing and QoS requirements separately. The STAR-RIS-enabled spectrum sharing problem between a primary network (e.g. a radar transmit-receive pair) and a secondary network is formulated as an optimization problem whose goal is to maximize the downlink sum-rate over a secondary multiple-input-single-output (MISO) network, while limiting interference over a primary network. Moreover, the STAR-RIS response coefficients and beamforming matrix in the secondary network are jointly optimized. To solve this non-convex problem, an alternating iterative algorithm is employed, where the STAR-RIS response coefficients and beamforming matrix are obtained using the successive convex approximation method. Simulation results show that the proposed solution outperforms conventional RIS schemes for mmWave spectrum sharing by achieving a 14.57% spectral efficiency gain.




Abstract:Reconfigurable Intelligent Surfaces (RISs) are envisioned to play a key role in future wireless communications, enabling programmable radio propagation environments. They are usually considered as nearly passive planar structures that operate as adjustable reflectors, giving rise to a multitude of implementation challenges, including an inherent difficulty in estimating the underlying wireless channels. In this paper, we propose the concept of Hybrid RISs (HRISs), which do not solely reflect the impinging waveform in a controllable fashion, but are also capable of sensing and processing a portion of it via some active reception elements. We first present implementation details for this novel metasurface architecture and propose a simple model for its operation, when considered for wireless communications. As an indicative application of HRISs, we formulate and solve the individual channels identification problem for the uplink of multi-user HRIS-empowered systems. Our numerical results showcase that, in the high signal-to-noise regime, HRISs enable individual channel estimation with notably reduced amounts of pilots, compared to those needed when using a purely reflective RIS that can only estimate the cascaded channel.




Abstract:Programmable radio environments parametrized by reconfigurable intelligent surfaces (RISs) are emerging as a new wireless communications paradigm, but currently used channel models for the design and analysis of signal-processing algorithms cannot include fading in a manner that is faithful to the underlying wave physics. To overcome this roadblock, we introduce a physics-based end-to-end model of RIS-parametrized wireless channels with adjustable fading (coined PhysFad) which is based on a first-principles coupled-dipole formalism. PhysFad naturally incorporates the notions of space and causality, dispersion (i.e., frequency selectivity) and the intertwinement of each RIS element's phase and amplitude response, as well as any arising mutual coupling effects including long-range mesoscopic correlations. PhysFad offers the to-date missing tuning knob for adjustable fading. We thoroughly characterize PhysFad and demonstrate its capabilities for a prototypical problem of RIS-enabled over-the-air channel equalization in rich-scattering wireless communications. We also share a user-friendly version of our code to help the community transition towards physics-based models with adjustable fading.




Abstract:We introduce the concept of smart radio environments, currently extensively studied for wireless communication in metasurface-programmable meter-scaled environments (e.g., inside rooms), on the chip scale. Wired intra-chip communication for information exchange between cores increasingly becomes a computation-speed-bottleneck for modern multi-core chips. Wireless intra-chip links with millimeter waves are a candidate technology to address this challenge, but they currently face their own problems: the on-chip propagation environment can be highly reverberant due to the metallic chip enclosure but transceiver modules must be kept simple (on/off keying) such that long channel impulse responses (CIRs) slow down the communication rate. Here, we overcome this problem by endowing the on-chip propagation environment with in situ programmability, allowing us to shape the CIR at will, and to impose, for instance, a pulse-like CIR despite the strong multi-path environment. Using full-wave simulations, we design a programmable metasurface suitable for integration in the on-chip environment ("on-chip reconfigurable intelligent surface"), and we demonstrate that the spatial control offered by the metasurface allows us to shape the CIR profile. We envision (i) dynamic multi-channel CIR shaping adapted to on-chip traffic patterns, (ii) analog wave-based over-the-air computing inside the chip enclosure, and (iii) the application of the explored concepts to off-chip communication inside racks, inside the chassis of personal computers, etc.




Abstract:Radiating wireless power transfer (WPT) brings forth the possibility to cost-efficiently charge wireless devices without requiring a wiring infrastructure. As such, it is expected to play a key role in the deployment of limited-battery communicating devices, as part of the 6G enabled Internet-of-Everything (IoE) vision. To date, radiating WPT technologies are mainly studied and designed assuming that the devices are located in the far-field region of the power radiating antenna, resulting in a relatively low energy transfer efficiency. However, with the transition of 6G systems to mmWave frequencies combined with the usage of large-scale antennas, future WPT devices are likely to operate in the radiating near-field (Fresnel) region. In this article, we provide an overview of the opportunities and challenges which arise from radiating near-field WPT. In particular, we discuss about the possibility to realize beam focusing in near-field radiating conditions, and highlight its possible implications for WPT in future {IoE} networks. Besides, we overview some of the design challenges and research directions which arise from this emerging paradigm, including its simultaneous operation with wireless communications, radiating waveform considerations, hardware aspects, and operation with typical antenna architectures.




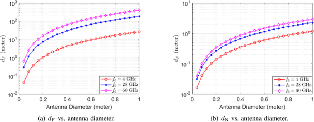
Abstract:Large antenna arrays and high-frequency bands are two key features of future wireless communication systems. The combination of large-scale antennas with high transmission frequencies often results in the communicating devices operating in the near-field (Fresnel) region. In this paper, we study the potential of beam focusing, feasible in near-field operation, in facilitating high-rate multi-user downlink multiple-input multiple-output (MIMO) systems. As the ability to achieve beam focusing is dictated by the transmit antenna, we study near-field signaling considering different antenna structures, including fully-digital architectures, hybrid phase shifter-based precoders, and the emerging dynamic metasurface antenna (DMA) architecture for massive MIMO arrays. We first provide a mathematical model to characterize near-field wireless channels as well as the transmission pattern for the considered antenna architectures. Then, we formulate the beam focusing problem for the goal of maximizing the achievable sum-rate in multi-user networks. We propose efficient solutions based on the sum-rate maximization task for fully-digital, (phase shifters based-) hybrid and DMA architectures. Simulation results show the feasibility of the proposed beam focusing scheme for both single- and multi-user scenarios. In particular, the designed focused beams are such that users residing at the same angular direction can communicate reliably without interfering with each other, which is not achievable using conventional far-field beam steering.




Abstract:Current discussions on the sixth Generation (6G) of wireless communications are envisioning future networks as a unified communication, sensing, and computing platform that intelligently enables diverse services, ranging from immersive to mission critical applications. The recently conceived concept of the smart radio environment, enabled by Reconfigurable Intelligent Surfaces (RISs), contributes towards this intelligent networking trend, offering programmable propagation of information-bearing signals, which can be jointly optimized with transceiver operations. Typical RIS implementations include metasurfaces with nearly passive meta-atoms, allowing to solely reflect the incident wave in an externally controllable way. However, this purely reflective nature induces significant challenges in the RIS orchestration from the wireless network. For example, channel estimation, which is essential for coherent communications in RIS-empowered wireless networks, is quite challenging with the available RIS designs. This article introduces the concept of Hybrid reflecting and sensing RISs (HRISs), which enables metasurfaces to reflect the impinging signal in a controllable manner, while simultaneously sense a portion of it. The sensing capability of HRISs facilitates various network management functionalities, including channel estimation and localization. We discuss a hardware design for HRISs and detail a full-wave proof-of-concept. We highlight their distinctive properties in comparison to reflective RISs and active relays, and present a simulation study evaluating the HRIS capability for performing channel estimation. Future research challenges and opportunities arising from the concept of HRISs are presented.