Abstract:Pacing strategies, defined by velocity and stroke rate profiles, are essential for peak performance in canoe sprint. While GPS is the gold standard for analysis, its limited availability necessitates automated video-based solutions. This paper presents an extended framework for reconstructing performance metrics from panned and zoomed video recordings across all sprint disciplines (K1-K4, C1-C2) and distances (200m-500m). Our method utilizes YOLOv8 for buoy and athlete detection, leveraging the known buoy grid to estimate homographies. We generalized the estimation of the boat position by means of learning a boat-specific athlete offset using a U-net based boat tip calibration. Further, we implement a robust tracking scheme using optical flow to adapt to multi-athlete boat types. Finally, we introduce methods to extract stroke rate information from either pose estimations or the athlete bounding boxes themselves. Evaluation against GPS data from elite competitions yields a velocity RRMSE of 0.020 +- 0.011 (rho = 0.956) and a stroke rate RRMSE of 0.022 +- 0.024 (rho = 0.932). The methods provide coaches with highly accurate, automated feedback without requiring on-boat sensors or manual annotation.
Abstract:The SoccerNet 2025 Challenges mark the fifth annual edition of the SoccerNet open benchmarking effort, dedicated to advancing computer vision research in football video understanding. This year's challenges span four vision-based tasks: (1) Team Ball Action Spotting, focused on detecting ball-related actions in football broadcasts and assigning actions to teams; (2) Monocular Depth Estimation, targeting the recovery of scene geometry from single-camera broadcast clips through relative depth estimation for each pixel; (3) Multi-View Foul Recognition, requiring the analysis of multiple synchronized camera views to classify fouls and their severity; and (4) Game State Reconstruction, aimed at localizing and identifying all players from a broadcast video to reconstruct the game state on a 2D top-view of the field. Across all tasks, participants were provided with large-scale annotated datasets, unified evaluation protocols, and strong baselines as starting points. This report presents the results of each challenge, highlights the top-performing solutions, and provides insights into the progress made by the community. The SoccerNet Challenges continue to serve as a driving force for reproducible, open research at the intersection of computer vision, artificial intelligence, and sports. Detailed information about the tasks, challenges, and leaderboards can be found at https://www.soccer-net.org, with baselines and development kits available at https://github.com/SoccerNet.
Abstract:This work concerns itself with the task of reconstructing all edges of an arbitrary 3D wire-frame model projected to an image plane. We explore a bottom-up part-wise procedure undertaken by an RL agent to segment and reconstruct these 2D multipart objects. The environment's state is represented as a four-colour image, where different colours correspond to background, a target edge, a reconstruction line, and the overlap of both. At each step, the agent can transform the reconstruction line within a four-dimensional action space or terminate the episode using a specific termination action. To investigate the impact of reward function formulations, we tested episodic and incremental rewards, as well as combined approaches. Empirical results demonstrated that the latter yielded the most effective training performance. To further enhance efficiency and stability, we introduce curriculum learning strategies. First, an action-based curriculum was implemented, where the agent was initially restricted to a reduced action space, being able to only perform three of the five possible actions, before progressing to the full action space. Second, we test a task-based curriculum, where the agent first solves a simplified version of the problem before being presented with the full, more complex task. This second approach produced promising results, as the agent not only successfully transitioned from learning the simplified task to mastering the full task, but in doing so gained significant performance. This study demonstrates the potential of an iterative RL wire-frame reconstruction in two dimensions. By combining optimized reward function formulations with curriculum learning strategies, we achieved significant improvements in training success. The proposed methodology provides an effective framework for solving similar tasks and represents a promising direction for future research in the field.




Abstract:Assessing an athlete's performance in canoe sprint is often established by measuring a variety of kinematic parameters during training sessions. Many of these parameters are related to single or multiple paddle stroke cycles. Determining on- and offset of these cycles in force sensor signals is usually not straightforward and requires human interaction. This paper explores convolutional neural networks (CNNs) and recurrent neural networks (RNNs) in terms of their ability to automatically predict these events. In addition, our work proposes an extension to the recently published SoftED metric for event detection in order to properly assess the model performance on time windows. In our results, an RNN based on bidirectional gated recurrent units (BGRUs) turned out to be the most suitable model for paddle stroke detection.




Abstract:Photoplethysmographic (PPG) signals offer diagnostic potential beyond heart rate analysis or blood oxygen level monitoring. In the recent past, research focused extensively on non-invasive PPG-based approaches to blood pressure (BP) estimation. These approaches can be subdivided into regression and classification methods. The latter assign PPG signals to predefined BP intervals that represent clinically relevant ranges. The former predict systolic (SBP) and diastolic (DBP) BP as continuous variables and are of particular interest to the research community. However, the reported accuracies of BP regression methods vary widely among publications with some authors even questioning the feasibility of PPG-based BP regression altogether. In our work, we compare BP regression and classification approaches. We argue that BP classification might provide diagnostic value that is equivalent to regression in many clinically relevant scenarios while being similar or even superior in terms of performance. We compare several established neural architectures using publicly available PPG data for SBP regression and classification with and without personalization using subject-specific data. We found that classification and regression models perform similar before personalization. However, after personalization, the accuracy of classification based methods outperformed regression approaches. We conclude that BP classification might be preferable over BP regression in certain scenarios where a coarser segmentation of the BP range is sufficient.




Abstract:The goal of this investigation was the assessment of acoustic infant vocalizations by laypersons. More specifically, the goal was to identify (1) the set of most salient classes for infant vocalizations, (2) their relationship to each other and to affective ratings, and (3) proposals for classification schemes based on these labels and relationships. The assessment behavior of laypersons has not yet been investigated, as current infant vocalization classification schemes have been aimed at professional and scientific applications. The study methodology was based on the Nijmegen protocol, in which participants rated vocalization recordings regarding acoustic class labels, and continuous affective scales valence, tense arousal and energetic arousal. We determined consensus stimuli ratings as well as stimuli similarities based on participant ratings. Our main findings are: (1) we identified 9 salient labels, (2) valence has the overall greatest association to label ratings, (3) there is a strong association between label and valence ratings in the negative valence space, but low association for neutral labels, and (4) stimuli separability is highest when grouping labels into 3 - 5 classes. We finally propose two classification schemes based on these findings.




Abstract:Automatic detection systems are important in passive acoustic monitoring (PAM) systems, as these record large amounts of audio data which are infeasible for humans to evaluate manually. In this paper we evaluated methods for compensating class imbalance for deep-learning based automatic detection of acoustic chimpanzee calls. The prevalence of chimpanzee calls in natural habitats is very rare, i.e. databases feature a heavy imbalance between background and target calls. Such imbalances can have negative effects on classifier performances. We employed a state-of-the-art detection approach based on convolutional recurrent neural networks (CRNNs). We extended the detection pipeline through various stages for compensating class imbalance. These included (1) spectrogram denoising, (2) alternative loss functions, and (3) resampling. Our key findings are: (1) spectrogram denoising operations significantly improved performance for both target classes, (2) standard binary cross entropy reached the highest performance, and (3) manipulating relative class imbalance through resampling either decreased or maintained performance depending on the target class. Finally, we reached detection performances of 33% for drumming and 5% for vocalization, which is a >7 fold increase compared to previously published results. We conclude that supporting the network to learn decoupling noise conditions from foreground classes is of primary importance for increasing performance.




Abstract:Exploiting photoplethysmography signals (PPG) for non-invasive blood pressure (BP) measurement is interesting for various reasons. First, PPG can easily be measured using fingerclip sensors. Second, camera-based approaches allow to derive remote PPG (rPPG) signals similar to PPG and therefore provide the opportunity for non-invasive measurements of BP. Various methods relying on machine learning techniques have recently been published. Performances are often reported as the mean average error (MAE) on the data which is problematic. This work aims to analyze the PPG- and rPPG-based BP prediction error with respect to the underlying data distribution. First, we train established neural network (NN) architectures and derive an appropriate parameterization of input segments drawn from continuous PPG signals. Second, we apply this parameterization to a larger PPG dataset and train NNs to predict BP. The resulting prediction errors increase towards less frequent BP values. Third, we use transfer learning to train the NNs for rPPG based BP prediction. The resulting performances are similar to the PPG-only case. Finally, we apply a personalization technique and retrain our NNs with subject-specific data. This slightly reduces the prediction errors.




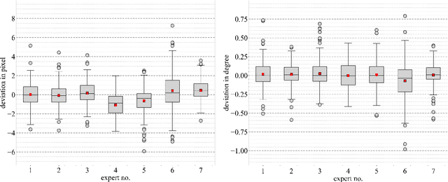
Abstract:Determining a waterline in images recorded in canoe sprint training is an important component for the kinematic parameter analysis to assess an athlete's performance. Here, we propose an approach for the automated waterline detection. First, we utilized a pre-trained Mask R-CNN by means of transfer learning for canoe segmentation. Second, we developed a multi-stage approach to estimate a waterline from the outline of the segments. It consists of two linear regression stages and the systematic selection of canoe parts. We then introduced a parameterization of the waterline as a basis for further evaluations. Next, we conducted a study among several experts to estimate the ground truth waterlines. This not only included an average waterline drawn from the individual experts annotations but, more importantly, a measure for the uncertainty between individual results. Finally, we assessed our method with respect to the question whether the predicted waterlines are in accordance with the experts annotations. Our method demonstrated a high performance and provides opportunities for new applications in the field of automated video analysis in canoe sprint.




Abstract:This paper introduces a new unsupervised method for the clustering of physiological data into health states based on their similarity. We propose an iterative hierarchical clustering approach that combines health states according to a similarity constraint to new arbitrary health states. We applied method to experimental data in which the physical strain of subjects was systematically varied. We derived health states based on parameters extracted from ECG data. The occurrence of health states shows a high temporal correlation to the experimental phases of the physical exercise. We compared our method to other clustering algorithms and found a significantly higher accuracy with respect to the identification of health states.