Abstract:Time Projection Chambers (TPCs) are versatile detectors that reconstruct charged-particle tracks in an ionizing medium, enabling sensitive measurements across a wide range of nuclear physics experiments. We explore sparse convolutional networks for representation learning on TPC data, finding that a sparse ResNet architecture, even with randomly set weights, provides useful structured vector embeddings of events. Pre-training this architecture on a simple physics-motivated binary classification task further improves the embedding quality. Using data from the GAseous Detector with GErmanium Tagging (GADGET) II TPC, a detector optimized for measuring low-energy $β$-delayed particle decays, we represent raw pad-level signals as sparse tensors, train Minkowski Engine ResNet models, and probe the resulting event-level embeddings which reveal rich event structure. As a cross-detector test, we embed data from the Active-Target TPC (AT-TPC) -- a detector designed for nuclear reaction studies in inverse kinematics -- using the same encoder. We find that even an untrained sparse ResNet model provides useful embeddings of AT-TPC data, and we observe improvements when the model is trained on GADGET data. Together, these results highlight the potential of sparse convolutional techniques as a general tool for representation learning in diverse TPC experiments.




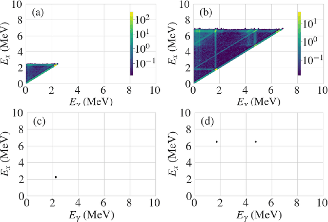
Abstract:We explore the use of machine learning techniques to remove the response of large volume $\gamma$-ray detectors from experimental spectra. Segmented $\gamma$-ray total absorption spectrometers (TAS) allow for the simultaneous measurement of individual $\gamma$-ray energy (E$_\gamma$) and total excitation energy (E$_x$). Analysis of TAS detector data is complicated by the fact that the E$_x$ and E$_\gamma$ quantities are correlated, and therefore, techniques that simply unfold using E$_x$ and E$_\gamma$ response functions independently are not as accurate. In this work, we investigate the use of conditional generative adversarial networks (cGANs) to simultaneously unfold $E_{x}$ and $E_{\gamma}$ data in TAS detectors. Specifically, we employ a Pix2Pix cGAN, a generative modeling technique based on recent advances in deep learning, to treat $(E_x, E_{\gamma})$ matrix unfolding as an image-to-image translation problem. We present results for simulated and experimental matrices of single-$\gamma$ and double-$\gamma$ decay cascades. Our model demonstrates characterization capabilities within detector resolution limits for upwards of $90\%$ of simulated test cases.




Abstract:Advances in artificial intelligence/machine learning methods provide tools that have broad applicability in scientific research. These techniques are being applied across the diversity of nuclear physics research topics, leading to advances that will facilitate scientific discoveries and societal applications. This Review gives a snapshot of nuclear physics research which has been transformed by artificial intelligence and machine learning techniques.


Abstract:Reliable modeling of conditional densities is important for quantitative scientific fields such as particle physics. In domains outside physics, implicit quantile neural networks (IQN) have been shown to provide accurate models of conditional densities. We present a successful application of IQNs to jet simulation and correction using the tools and simulated data from the Compact Muon Solenoid (CMS) Open Data portal.
Abstract:This article presents novel applications of unsupervised machine learning methods to the problem of event separation in an active target detector, the Active-Target Time Projection Chamber (AT-TPC). The overarching goal is to group similar events in the early stages of the data analysis, thereby improving efficiency by limiting the computationally expensive processing of unnecessary events. The application of unsupervised clustering algorithms to the analysis of two-dimensional projections of particle tracks from a resonant proton scattering experiment on $^{46}$Ar is introduced. We explore the performance of autoencoder neural networks and a pre-trained VGG16 convolutional neural network. We find that a $K$-means algorithm applied to the simulated data in the VGG16 latent space forms almost perfect clusters. Additionally, the VGG16+$K$-means approach finds high purity clusters of proton events for real experimental data. We also explore the application of clustering the latent space of autoencoder neural networks for event separation. While these networks show strong performance, they suffer from high variability in their results.




Abstract:We apply generative adversarial network (GAN) technology to build an event generator that simulates particle production in electron-proton scattering that is free of theoretical assumptions about underlying particle dynamics. The difficulty of efficiently training a GAN event simulator lies in learning the complicated patterns of the distributions of the particles physical properties. We develop a GAN that selects a set of transformed features from particle momenta that can be generated easily by the generator, and uses these to produce a set of augmented features that improve the sensitivity of the discriminator. The new Feature-Augmented and Transformed GAN (FAT-GAN) is able to faithfully reproduce the distribution of final state electron momenta in inclusive electron scattering, without the need for input derived from domain-based theoretical assumptions. The developed technology can play a significant role in boosting the science of the Jefferson Lab 12 GeV program and the future Electron-Ion Collider.




Abstract:We evaluate machine learning methods for event classification in the Active-Target Time Projection Chamber detector at the National Superconducting Cyclotron Laboratory (NSCL) at Michigan State University. An automated method to single out the desired reaction product would result in more accurate physics results as well as a faster analysis process. Binary and multi-class classification methods were tested on data produced by the $^{46}$Ar(p,p) experiment run at the NSCL in September 2015. We found a Convolutional Neural Network to be the most successful classifier of proton scattering events for transfer learning. Results from this investigation and recommendations for event classification in future experiments are presented.