Abstract:To ensure safety in teleoperated driving scenarios, communication between vehicles and remote drivers must satisfy strict latency and reliability requirements. In this context, Predictive Quality of Service (PQoS) was investigated as a tool to predict unanticipated degradation of the Quality of Service (QoS), and allow the network to react accordingly. In this work, we design a reinforcement learning (RL) agent to implement PQoS in vehicular networks. To do so, based on data gathered at the Radio Access Network (RAN) and/or the end vehicles, as well as QoS predictions, our framework is able to identify the optimal level of compression to send automotive data under low latency and reliability constraints. We consider different learning schemes, including centralized, fully-distributed, and federated learning. We demonstrate via ns-3 simulations that, while centralized learning generally outperforms any other solution, decentralized learning, and especially federated learning, offers a good trade-off between convergence time and reliability, with positive implications in terms of privacy and complexity.




Abstract:Over the past few years, the concept of VR has attracted increasing interest thanks to its extensive industrial and commercial applications. Currently, the 3D models of the virtual scenes are generally stored in the VR visor itself, which operates as a standalone device. However, applications that entail multi-party interactions will likely require the scene to be processed by an external server and then streamed to the visors. However, the stringent Quality of Service (QoS) constraints imposed by VR's interactive nature require Network Slicing (NS) solutions, for which profiling the traffic generated by the VR application is crucial. To this end, we collected more than 4 hours of traces in a real setup and analyzed their temporal correlation. More specifically, we focused on the CBR encoding mode, which should generate more predictable traffic streams. From the collected data, we then distilled two prediction models for future frame size, which can be instrumental in the design of dynamic resource allocation algorithms. Our results show that even the state-of-the-art H.264 CBR mode can have significant fluctuations, which can impact the NS optimization. We then exploited the proposed models to dynamically determine the Service Level Agreement (SLA) parameters in an NS scenario, providing service with the required QoS while minimizing resource usage.




Abstract:Artificial intelligence (AI) techniques have emerged as a powerful approach to make wireless networks more efficient and adaptable. In this paper we present an ns-3 simulation framework, able to implement AI algorithms for the optimization of wireless networks. Our pipeline consists of: (i) a new geometry-based mobility-dependent channel model for V2X; (ii) all the layers of a 5G-NR-compliant protocol stack, based on the ns3-mmwave module; (iii) a new application to simulate V2X data transmission, and (iv) a new intelligent entity for the control of the network via AI. Thanks to its flexible and modular design, researchers can use this tool to implement, train, and evaluate their own algorithms in a realistic and controlled environment. We test the behavior of our framework in a Predictive Quality of Service (PQoS) scenario, where AI functionalities are implemented using Reinforcement Learning (RL), and demonstrate that it promotes better network optimization compared to baseline solutions that do not implement AI.




Abstract:In recent years, autonomous networks have been designed with Predictive Quality of Service (PQoS) in mind, as a means for applications operating in the industrial and/or automotive sectors to predict unanticipated Quality of Service (QoS) changes and react accordingly. In this context, Reinforcement Learning (RL) has come out as a promising approach to perform accurate predictions, and optimize the efficiency and adaptability of wireless networks. Along these lines, in this paper we propose the design of a new entity, implemented at the RAN-level that, with the support of an RL framework, implements PQoS functionalities. Specifically, we focus on the design of the reward function of the learning agent, able to convert QoS estimates into appropriate countermeasures if QoS requirements are not satisfied. We demonstrate via ns-3 simulations that our approach achieves the best trade-off in terms of QoS and Quality of Experience (QoE) performance of end users in a teleoperated-driving-like scenario, compared to other baseline solutions.




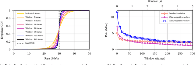
Abstract:Over the past few years, eXtended Reality (XR) has attracted increasing interest thanks to its extensive industrial and commercial applications, and its popularity is expected to rise exponentially over the next decade. However, the stringent Quality of Service (QoS) constraints imposed by XR's interactive nature require Network Slicing (NS) solutions to support its use over wireless connections: in this context, quasi-Constant Bit Rate (CBR) encoding is a promising solution, as it can increase the predictability of the stream, making the network resource allocation easier. However, traffic characterization of XR streams is still a largely unexplored subject, particularly with this encoding. In this work, we characterize XR streams from more than 4 hours of traces captured in a real setup, analyzing their temporal correlation and proposing two prediction models for future frame size. Our results show that even the state-of-the-art H.264 CBR mode can have significant frame size fluctuations, which can impact the NS optimization. Our proposed prediction models can be applied to different traces, and even to different contents, achieving very similar performance. We also show the trade-off between network resource efficiency and XR QoS in a simple NS use case.




Abstract:Thanks to recent advancements in the technology, eXtended Reality (XR) applications are gaining a lot of momentum, and they will surely become increasingly popular in the next decade. These new applications, however, require a step forward also in terms of models to simulate and analyze this type of traffic sources in modern communication networks, in order to guarantee to the users state of the art performance and Quality of Experience (QoE). Recognizing this need, in this work, we present a novel open-source traffic model, which researchers can use as a starting point both for improvements of the model itself and for the design of optimized algorithms for the transmission of these peculiar data flows. Along with the mathematical model and the code, we also share with the community the traces that we gathered for our study, collected from freely available applications such as Minecraft VR, Google Earth VR, and Virus Popper. Finally, we propose a roadmap for the construction of an end-to-end framework that fills this gap in the current state of the art.