



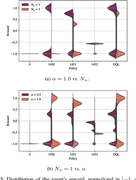
In recent years, autonomous networks have been designed with Predictive Quality of Service (PQoS) in mind, as a means for applications operating in the industrial and/or automotive sectors to predict unanticipated Quality of Service (QoS) changes and react accordingly. In this context, Reinforcement Learning (RL) has come out as a promising approach to perform accurate predictions, and optimize the efficiency and adaptability of wireless networks. Along these lines, in this paper we propose the design of a new entity, implemented at the RAN-level that, with the support of an RL framework, implements PQoS functionalities. Specifically, we focus on the design of the reward function of the learning agent, able to convert QoS estimates into appropriate countermeasures if QoS requirements are not satisfied. We demonstrate via ns-3 simulations that our approach achieves the best trade-off in terms of QoS and Quality of Experience (QoE) performance of end users in a teleoperated-driving-like scenario, compared to other baseline solutions.