



Abstract:The need to estimate the speed of road vehicles has become increasingly important in the field of video forensics, particularly with the widespread deployment of CCTV cameras worldwide. Despite the development of various approaches, the accuracy of forensic speed estimation from real-world footage remains highly dependent on several factors, including camera specifications, acquisition methods, spatial and temporal resolution, compression methods, and scene perspective, which can significantly influence performance. In this paper, we introduce ForeSpeed, a comprehensive dataset designed to support the evaluation of speed estimation techniques in real-world scenarios using CCTV footage. The dataset includes recordings of a vehicle traveling at known speeds, captured by three digital and three analog cameras from two distinct perspectives. Real-world road metrics are provided to enable the restoration of the scene geometry. Videos were stored with multiple compression factors and settings, to simulate real world scenarios in which export procedures are not always performed according to forensic standards. Overall, ForeSpeed, includes a collection of 322 videos. As a case study, we employed the ForeSpeed dataset to benchmark a speed estimation algorithm available in a commercial product (Amped FIVE). Results demonstrate that while the method reliably estimates average speed across various conditions, its uncertainty range significantly increases when the scene involves strong perspective distortion. The ForeSpeed dataset is publicly available to the forensic community, with the aim of facilitating the evaluation of current methodologies and inspiring the development of new, robust solutions tailored to collision investigation and forensic incident analysis.




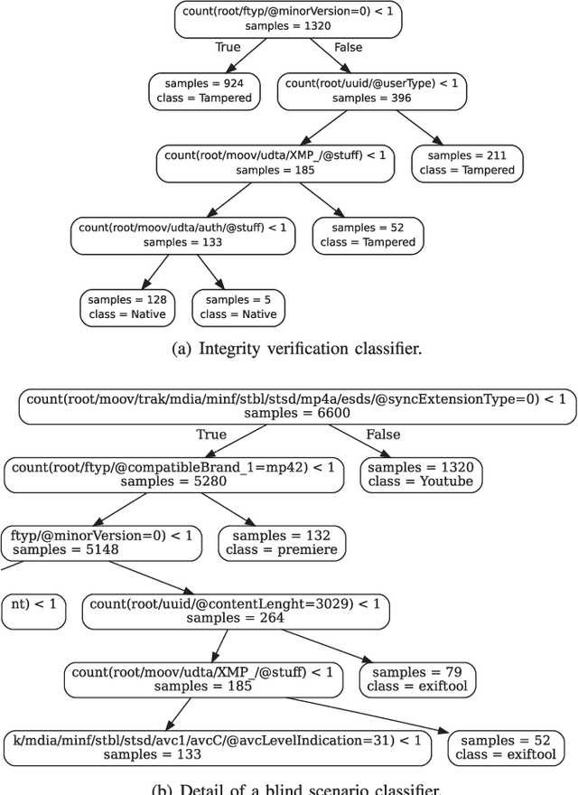
Abstract:Most video forensic techniques look for traces within the data stream that are, however, mostly ineffective when dealing with strongly compressed or low resolution videos. Recent research highlighted that useful forensic traces are also left in the video container structure, thus offering the opportunity to understand the life-cycle of a video file without looking at the media stream itself. In this paper we introduce a container-based method to identify the software used to perform a video manipulation and, in most cases, the operating system of the source device. As opposed to the state of the art, the proposed method is both efficient and effective and can also provide a simple explanation for its decisions. This is achieved by using a decision-tree-based classifier applied to a vectorial representation of the video container structure. We conducted an extensive validation on a dataset of 7000 video files including both software manipulated contents (ffmpeg, Exiftool, Adobe Premiere, Avidemux, and Kdenlive), and videos exchanged through social media platforms (Facebook, TikTok, Weibo and YouTube). This dataset has been made available to the research community. The proposed method achieves an accuracy of 97.6% in distinguishing pristine from tampered videos and classifying the editing software, even when the video is cut without re-encoding or when it is downscaled to the size of a thumbnail. Furthermore, it is capable of correctly identifying the operating system of the source device for most of the tampered videos.




Abstract:Photo Response Non Uniformity (PRNU) is considered the most effective trace for the image source attribution task. Its uniqueness ensures that the sensor pattern noises extracted from different cameras are strongly uncorrelated, even when they belong to the same camera model. However, with the advent of computational photography, most recent devices of the same model start exposing correlated patterns thus introducing the real chance of erroneous image source attribution. In this paper, after highlighting the issue under a controlled environment, we perform a large testing campaign on Flickr images to determine how widespread the issue is and which is the plausible cause. To this aim, we tested over $240000$ image pairs from $54$ recent smartphone models comprising the most relevant brands. Experiments show that many Samsung, Xiaomi and Huawei devices are strongly affected by this issue. Although the primary cause of high false alarm rates cannot be directly related to specific camera models, firmware nor image contents, it is evident that the effectiveness of PRNU-based source identification on the most recent devices must be reconsidered in light of these results. Therefore, this paper is to be intended as a call to action for the scientific community rather than a complete treatment of the subject.




Abstract:To decide whether a digital video has been captured by a given device, multimedia forensic tools usually exploit characteristic noise traces left by the camera sensor on the acquired frames. This analysis requires that the noise pattern characterizing the camera and the noise pattern extracted from video frames under analysis are geometrically aligned. However, in many practical scenarios this does not occur, thus a re-alignment or synchronization has to be performed. Current solutions often require time consuming search of the realignment transformation parameters. In this paper, we propose to overcome this limitation by searching scaling and rotation parameters in the frequency domain. The proposed algorithm tested on real videos from a well-known state-of-the-art dataset shows promising results.




Abstract:The field of image composition is constantly trying to improve the ways in which an image can be altered and enhanced. While this is usually done in the name of aesthetics and practicality, it also provides tools that can be used to maliciously alter images. In this sense, the field of digital image forensics has to be prepared to deal with the influx of new technology, in a constant arms-race. In this paper, the current state of this arms-race is analyzed, surveying the state-of-the-art and providing means to compare both sides. A novel scale to classify image forensics assessments is proposed, and experiments are performed to test composition techniques in regards to different forensics traces. We show that even though research in forensics seems unaware of the advanced forms of image composition, it possesses the basic tools to detect it.